时间:2017-07-27 11:34:35
1、填空题 水平面上质量为m的滑块A以速度v碰撞质量为2m/3的静止滑块B,碰撞后AB的速度方向相同,它们的总动量为____________;如果滑块B获得的初速为v0,碰撞后滑块A的速度为____________。
参考答案:mv,v-2v0/3
本题解析:
本题难度:一般
2、计算题 如图所示,竖直放置的圆弧轨道和水平轨道两部分相连。水平轨道的右侧有一质量为2m的滑块C与轻质弹簧的一端相连,弹簧的另一端固定在竖直的墙M上,弹簧处于原长时,滑块C静止在P点处;在水平轨道上方O处,用长为L的细线悬挂一质量为m的小球B,B球恰好与水平轨道相切,并可绕O点在竖直平面内摆动,质量为m的滑块A由圆弧轨道上静止释放,进入水平轨道与小球B发生弹性碰撞。P点左方的轨道光滑、右方粗糙,滑块A、C与PM段的动摩擦因数均为μ=0.5,A、B、C均可视为质点,重力加速度为g。则:
(1)求滑块A从2L高度处由静止开始下滑,与B碰后瞬间B的速度;
(2)若滑块A能以与球B碰前瞬间相同的速度与滑块C相碰,A至少要从距水平轨道多高的地方开始释放?
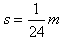
(3)在(2)中算出的最小值高度处由静止释放A,经一段时间A与C相碰,设碰撞时间极短,碰后一起压缩弹簧,弹簧最大压缩量为
,求弹簧的最大弹性势能。
参考答案:解:(1)对A,由机械能守恒得
解得
A与B碰:mv0=mvA+mvB
解得
(2)要使滑块A能以与B碰前瞬间相同的速度与C碰撞,必须使小球B受A撞击后在竖直平面内完成一个完整的圆周运动后从左方撞击A,使A继续向右运动
设A从距水平面高为h的地方释放,与B碰前的速度为v0
对A,由机械能守恒得:
设小球B通过最高点的速度为vB,则它通过最高点的条件是:
小球B从最低点到最高点的过程机械能守恒:
解得
(3)从这个高度下滑的A与C碰撞前瞬间速度:v0
设A与C碰后瞬间的共同速度为v,由动量守恒:mv0=(m+2m)v
A、C一起压缩弹簧,由能量守恒定律,有:
解得
本题解析:
本题难度:困难
3、计算题 如图甲所示,物块A、B的质量分别是mA=4.0 kg和mB=3.0 kg,用轻弹簧拴接放在光滑的水平地面上,物块B右侧与竖直墙相接触。另有一物块C从t=0时以一定速度向右运动,在=4 s时与物块A相碰,并立即与A粘在一起不再分开,物块C的v-t图像如图乙所示。求:
(1)物块C的质量mC;
(2)墙壁对物块B的弹力在4s到12 s的时间内对B做的功W及对B的冲量I的大小和方向;
(3)B离开墙后的过程中弹簧具有的最大弹性势能Ep。
参考答案:解:(1)由乙图知,C与A碰前速度为v1=9 m/s,碰后速度为v2=3 m/s,C与A碰撞过程动量守恒,则有
mCv1=(mA+mC)v2
解得mC=2 kg
(2)墙对物块B不做功,所以W=0
由图乙知,12 s末A和C的速度为v3=-3 m/s,在4s 到12 s内墙对B的冲量为
I=(mA+mC)v"3-(mA+mC)v3
所以I= -36 N·s,方向向左
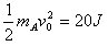
(3)12 s末B离开墙壁,之后A、B、C及弹簧组成的系统动量和机械能守恒,且当A、C与B速度相等时弹簧弹性势能最大
(mA+mC)v3=(mA+mB+mC)v4
解得Ep=9 J
本题解析:
本题难度:困难
4、计算题 有一倾角为θ的斜面,其底端固定一档板,另有三个木块A、B、C,它们的质量分别为mA=mB=m,mC=3m,它们与斜面间的动摩擦因数都相同。其中木块A和一轻弹簧连接,放于斜面上,并通过轻弹簧与档板M相连,如图所示。开始时,木块A静止在P点,弹簧处于原长,木块B在Q点以初速度v0沿斜面向下运动,P、Q间的距离为l,已知木块B在下滑过程中做匀速直线运动,与木块A碰撞后立刻一起沿斜面向下运动,但不粘连,它们到达一个最低点后向上运动,木块B向上运动恰好能回到Q点。现将木块C从Q点以初速度
沿斜面向下运动,木块A仍静止于P点,经历同样的过程,最后木块C停在斜面上的R点(图中未画出)。求:
(1)A、B一起开始压缩弹簧时速度v1;
(2)A、B压缩弹簧的最大长度;
(3)P、R间的距离l"的大小。 
参考答案:解:(1)木块B下滑做匀速运动,有mgsinθ=μmgcosθ
B和A碰撞后,设速度为v1,根据动量守恒定律得mv0=2mv1
解得v1=
(2)设两木块向下压缩弹簧的最大长度为x,两木块被弹簧弹回到P点时的速度为v2,根据动能定理得
一μ2mgcosθ2x=
2mv
一
2mv
两木块在P点处分开后,木块B上滑到Q点的过程中,根据动能定理得
一(mgsinθ+μmgcosθ)l=0一
mv
解得x=
一l
(3)木块C与A碰撞前后速度为v1",根据动量守恒定律得3m
=4mv1"
解得v1"=
设木块C和A压缩的最大长度为x",两木块被弹簧弹回到P点时的速度为v2",根据动能定理得
一μ4mgcosθ2x"=
4mv"
一
4mv"
木块C与A在P点处分开后,木块C上滑到R的过程中,根据动能定理得
一(3mgsinθ+μ3mgcosθ)l"=0一
3mv"
在木块压缩弹簧的过程中,重力对木块所做的功与摩擦力对木块所做的功大小相等,因此,木块B和A压缩弹簧的初动能Ek1=
=
木块C与A压缩弹簧的初动能Ek2=
=
即Ek1=Ek2
因此,弹簧先后两次的最大压缩量相等,即x=x",综上可得l"=l一
本题解析:
本题难度:困难
5、计算题 (选修3-5选做题)
质量为m的钢板与直立轻弹簧的上端连接,弹簧下端固定在地面上,钢板处于平衡状态。一质量也为m的物块甲从钢板正上方距离为h的A处自由落下,打在钢板上并立刻与钢板一起向下运动,但不粘连,它们一起向下运动x0后到达最低点B;若物块乙质量为2m,仍从A处自由落下,则物块乙与钢板一起向下运动到B点时,仍具有向下的速度,求此时速度的大小vB(已知重力加速度为g)。
参考答案:解:设物块甲刚落在钢板上时的速度为v0,根据机械能守恒定律可得:
解得:
设物块甲与钢板碰撞后的速度为v1,根据动量守恒定律可得:
mv0=2mv1
解得:
根据题意可知到达最低点占时弹簧的弹性势能增为:
设当物块乙落在钢板上时的速度为v"0,根据机械能守恒定律可得:
解得:
设物块乙与钢板碰撞后的速度为v2,根据动量守恒定律可得:
2mv"0=3mv2
解得:
根据能量守恒定律可得:
由以上各式解得:
本题解析:
本题难度:一般