高考物理高频考点《匀速直线运动》在线测试(2017年最新版)(九)

时间:2017-07-17 08:04:19

微信搜索关注"91考试网"公众号,领30元,获取事业编教师公务员等考试资料40G

1、计算题  上海到南京的列车已迎来第六次大提速,速度达到180km/h.为确保安全,在铁路与公路交叉的道口处需装有自动信号灯.当列车还有一段距离才到达公路道口时,道口应亮出红灯.警告未越过停车线的汽车迅速制动,已越过停车线的汽车赶快通过.如果汽车通过道口的速度36 km/h,停车线至道口栏木的距离,道口宽度,汽车长(图1-1-8).并把火车和汽车的运动都看成匀速直线运动.问:列车离道口的距离L为多少时亮红灯,才能确保已越过停车线的汽车安全驶过道口?



?


参考答案:230m.


本题解析:为确保行车安全,要求列车驶过距离L的时间内,已越过停车线的汽车的车尾必须能通过道口.汽车越过停车线至车尾通过道口,汽车的位移为
汽车速度36 km/h=10m/s,通过这段位移需要时间=4.6s
高速列车的速度180km/h=50m/s,所以安全距离50×4.6m=230m
实际情况下,还应考虑到关闭栏木需要的时间以及预留的安全时间等,所以在列车离道口更远时,道口就应该亮起红灯-发出警告.


本题难度:一般



2、选择题  一物体从高处自由下落,经2秒落地,则该物体下落1秒时,离地高度是
A.5米
B.10米
C.15米
D.18米


参考答案:C


本题解析:分析:根据h=数学公式gt2求出下落的高度,然后再根据该公式求出1s内下降的高度,从而得出离地的高度.
解答:物体2s内的位移为:数学公式
物体第一秒的位移为:数学公式
故物体下落1秒时,离地高度是H-h=15m;
故选C.
点评:本题关键是要明确物体的运动规律,然后根据位移时间关系公式列式求解.


本题难度:困难



3、选择题  做自由落体运动的物体,先后经过空中M、N两点时的速度分别为V1和V2,则下列说法中正确的是
A.MN间的距离:
B.物体经过MN中点时的速度为:
C.经过MN时所用的时间为:
D.物体经过MN的平均速度:


参考答案:ABD


本题解析:分析:根据自由落体运动位移速度公式及速度时间公式即可解题.
解答:A、根据位移速度公式可知:h=数学公式,故A正确;
B、根据位移速度公式可知:数学公式数学公式,解得:数学公式,故B正确;
C、根据v=v0+gt得:t=数学公式,故C错误;
D、匀变速直线运动平均速度数学公式,故D正确.
故选ABD.
点评:本题主要考查了自由落体运动基本公式的直接应用,难度适中.


本题难度:困难



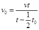
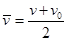
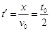
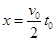
4、选择题  某动车组列车以平均速度v从甲地开到乙地所需的时间为t,该列车以速度v0从甲地出发匀速前进,途中接到紧急停车命令紧急刹车,列车停车后又立即匀加速到v0继续匀速前进,从开始刹车至加速到v0的时间是t0(列车刹车过程与加速过程中的加速度大小相等),若列车仍要在t时间内到达乙地,则动车组列车匀速运动的速度v0应为(?)
A.
B.
C.
D.


参考答案:C


本题解析:求出火车由于刹车减速再加速所耽误的时间,即可得出火车匀速运动的时间,根据平均速度公式求出火车匀速运动的速度。
火车中途急刹车,停止后又立即加速到这段时间内的位移为,这段位移若做匀速直线运动所需的时间为,则火车由于刹车减速再加速所耽误的时间为,则火车匀速运动的速度
故选C
点评:解决本题的关键求出火车由于刹车减速再加速所耽误的时间,以及掌握匀变速直线运动的平均速度公式


本题难度:简单



5、简答题  一支长为150m的队伍匀速前进,通讯兵从队尾前进300m后赶到队前传达命令后立即返回,当通讯兵回到队尾时,队伍已前进了200m,则这个过程中通讯兵的位移为______m,通讯兵走过的路程为______m.


参考答案:
91考试网
人到队前时,队伍前进的距离为S1=300m-150m=150m;
人到队尾时,队伍前进的距离是S2=200m-150m=50m;
所以人向后跑了S3=150m-50m=100m,
因此这个过程中通信兵的路程为向前300m+向后100m=400m.
这个过程中通讯兵的位移大小是队伍前进的距离即200m,
故答案为:200,400.


本题解析:


本题难度:一般




首页 上页 8 9 10 下页 尾页 9/10/10
微信搜索关注"91考试网"公众号,领30元,获取公务员事业编教师考试资料40G
【省市县地区导航】【考试题库导航】
 ★ 高考省级导航 ★ 
全国 A安徽 B北京 C重庆 F福建 G广东 广西 甘肃 贵州 H河南 河北 湖南 湖北 黑龙江 海南 J江苏 江西 吉林 L辽宁 N内蒙古 宁夏 Q青海 S山东 山西 陕西 四川 上海 T天津 X新疆 西藏 Y云南 Z浙江
 ★ 高考信息汇总 ★ 
 ★ 高考历年真题 ★ 
 ★ 高考历年真题 ★ 
 ★ 高考题库 ★ 
 ★ 高考题库 ★ 

电脑版  |  手机版  |  返回顶部