高考物理试题《匀变速直线运动基本公式应用》试题巩固(2017年最新版)(十)

时间:2017-07-17 07:52:39

微信搜索关注"91考试网"公众号,领30元,获取事业编教师公务员等考试资料40G

1、计算题  一物体从O点以4m/s的速度滑上光滑斜面做匀减速直线运动,2s后向上经过A点,此时物体的速度为2m/s。求:
(1)物体向上滑行的最大位移?
(2)从O点出发到返回O点共需多少时间?


参考答案:解:(1)设物体上滑的加速度为a,则在前2s内有:
,∴
解得:a= -1m/s2
物体上滑到末速度为零的过程中有:,v=0

解得:x=8m
(2)物体上滑的时间:t1=ΔV/a=4s
根据对称性,往返总时间:t=2t1=8s


本题解析:


本题难度:一般



2、选择题  如图所示,在光滑水平面上放着质量相等且紧靠在一起的A、B两物体,B受到水平向右的恒力FB=2N,A受到的水平力FA=(9-2t)N(t的单位是s).从t=0开始计时,则(?)

A.A物体在3. 5s末时刻的加速度是初始时刻的
B.t>3. 5s后,B物体做匀加速直线运动
C.t="4." 5s时,A物体的速度为零
D.t>4. 5s后,A、B的加速度方向相反


参考答案:BD


本题解析:略


本题难度:简单



3、简答题  

(1)初速度V0为多少?
(2)加速度a大小是多少、方向如何?
(3)2s末的速度V2是多少?


参考答案:(1)V0=10m/s(2)-2(m/s2)?方向与初速度方向相反
(3)6(m/s)


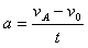
本题解析:(1)由图可得V0=10m/s
(2)由a=可得a== -2(m/s2)
方向与初速度方向相反
(3)2S末的速度由vt=v0+at得V=10+(-2)×2=6(m/s)


本题难度:简单



4、选择题  我国是一个能源消耗大国,节约能源刻不容缓。设有一架直升飞机以加速度a从地面由静止开始竖直向上起飞,已知飞机在上升过程中每秒钟的耗油量V=pa+q(p、q均为常数),若直升飞机欲加速上升到某一高度处,且耗油量最小,则其加速度大小应为

[? ]


A.
B.
C.
D.


参考答案:B


本题解析:


本题难度:一般



5、填空题  公共汽车从车站匀加速起动后,司机发现尚有乘客未上车,急忙刹车(可看作匀减速直线运动)直到停止,汽车从开始起动到又停止整个过程历时5s,车共前进的距离为10m,由此可知汽车在此过程中的最大速度为__________m/s.


参考答案:4


本题解析:略


本题难度:简单



Nurture passes nature. 教养胜过天性.

首页 上页 9 10 下页 尾页 10/10/10
微信搜索关注"91考试网"公众号,领30元,获取公务员事业编教师考试资料40G
【省市县地区导航】【考试题库导航】
 ★ 高考省级导航 ★ 
全国 A安徽 B北京 C重庆 F福建 G广东 广西 甘肃 贵州 H河南 河北 湖南 湖北 黑龙江 海南 J江苏 江西 吉林 L辽宁 N内蒙古 宁夏 Q青海 S山东 山西 陕西 四川 上海 T天津 X新疆 西藏 Y云南 Z浙江
 ★ 高考信息汇总 ★ 
 ★ 高考历年真题 ★ 
 ★ 高考历年真题 ★ 
 ★ 高考题库 ★ 
 ★ 高考题库 ★ 

电脑版  |  手机版  |  返回顶部