时间:2017-07-17 07:49:35
1、计算题 如图,ab和cd是两条竖直放置的长直光滑金属导轨,MN和M"N"是两根用细线连接的金属杆,其质量分别为m和2m。竖直向上的外力F作用在杆MN上,使两杆水平静止,并刚好与导轨接触;两杆的总电阻为R,导轨间距为l。整个装置处在磁感应强度为B的匀强磁场中,磁场方向与导轨所在平面垂直。导轨电阻可忽略,重力加速度为g。在t=0时刻将细线烧断,保持F不变,金属杆和导轨始终接触良好。求
(1)细线烧断后,任意时刻两杆运动的速度之比;
(2)两杆分别达到的最大速度。 
参考答案:解:(1)根据初状态静止,有
设MN加速度为a1,M"N"加速度为a2,在t=0时刻将细线烧断时
,向上;
,向下
在将细线烧断后,设安培力为FA,因为MN受安培力向下,M"N"受安培力向上,二者大小相等,则
,向上;
,向下
所以在任意时刻两杆运动的加速度之比为
因此在任意时刻两杆运动的速度之比为
①
(2)两杆达到最大速度时,皆受力平衡,对M"N"有
感应电动势
电流
安培力
所以
得
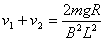
②
联立①②解得
,
本题解析:
本题难度:困难
2、选择题 在图中直角坐标系xOy的一,三象限内有垂直纸面的匀强磁场,磁感应强度大小均为B,方向如图所示.半径为l,圆心角为60°的扇形导线框OPQ从图示位置开始以ω=
?rad/s的角速度绕O点在xOy平面内沿逆时针方向匀速转动.则在线框转动一周的过程中,线框中感应电动势随时间变化关系大致是下图中的(设沿OPQ的电动势方向为正)(? )

参考答案:B
本题解析:考查楞次定律,法拉第电磁感应定律.在线框转过
,即1 s内,感应电动势方向沿OQP,为负,A?D错误;在1.5~2.5 s内,感应电动势方向沿OPQ,为正,B正确?C错误.
本题难度:一般
3、选择题 等腰三角形内有垂直于纸面向外的匀强磁场,它的底边在x轴上且长为2L,高为L。t=0时刻,边长为L的正方形导线框从图示位置沿x轴正方向匀速穿过磁场,取顺时针方向为电流的正方向,则能够正确表示导线框中电流位移(i-x)关系的是
[? ]
A.
B.
C.
D.
参考答案:A
本题解析:
本题难度:一般
4、选择题 两块水平放置的金属板间的距离为d,用导线与一个n匝线圈相连,线圈电阻为r,线圈中有竖直方向的磁场,电阻R与金属板连接,其余电阻均不计.如图所示,两板间有一个质量为m、电量q的带正电的油滴恰好处于静止状态,则线圈中的磁感应强度B的变化情况和磁通量的变化率分别是 
[? ]
A.磁感应强度B竖直向上且正在增强,
B.磁感应强度B竖直向下且正在增强,
C.磁感应强度B竖直向上且正在减弱,
D.磁感应强度B竖直向下且正在减弱, 
参考答案:C
本题解析:
本题难度:一般
5、选择题 如图所示,两光滑平行导轨水平放置在匀强磁场中,磁场垂直导轨所在平面,金属棒ab可沿导轨自由滑动,导轨一端跨接一个定值电阻R,导轨电阻不计.现将金属棒沿导轨由静止向右拉,若保持拉力F恒定,经过时间t1后速度为v1,加速度为a1,最终以速度2v做匀速运动;若保持拉力的功率P恒定,棒由静止经时间t2后速度为v2,加速度为a2,最终也以速度2v做匀速运动,则( )
A.t2=t1
B.t1>t2
C.a2=2a1
D.a2=5a1
参考答案:B
本题解析:
本题难度:一般