高考物理知识点总结《机械能》试题特训(2017年最新版)(十)

时间:2017-07-17 07:41:23

微信搜索关注"91考试网"公众号,领30元,获取事业编教师公务员等考试资料40G

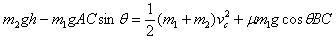
1、计算题  如图所示,倾斜滑道上有一质量为m1的滑块,滑块通过一轻质细绳吊起一质量为m2的小桶。已知滑道的倾角为θ=37°,AB段、CD段光滑,BC段粗糙,滑块m1与BC段的动摩擦因数为μ=0.8,长度AB=BC=3m、CD=6m,m1=m2=lkg。开始时将滑块放在轨道上的A点,此时小桶离地高度h=6m。不计滑轮的摩擦并忽略滑块、小桶的大小,且小桶落地后脱离挂钩。现将系统由静止释放,g=10m/s2,求:
(1)m1由A向B运动过程中的加速度;
(2)m1经过C点时的动能;
(3)m1向上运动的最大距离。


参考答案:解:(1)对m1进行受力分析,根椐牛顿第二定律
对沙桶进行受力分析,根椐牛顿第二定律
解得a=2m/s2
(2)设运动到C点的速度为,根据能量守恒定律,系统减少的重力势能转化为系统的动能和内能,故:
解得:
?
(3)设m1经过c点后还能运动x米,根据机械能守恒定律有:
解得:x=0.4m
m1向上运动的最大距离d=6.4m


本题解析:


本题难度:困难



2、计算题  如图所示,半径R=0.40m的光滑半圆环轨道处于竖直平面内,半圆环与粗糙的水平地面相切于圆环的端点A.一质量m=0.10kg的小球,以初速度v0=7.0m/s在水平地面上向左做加速度a=3.0m/s2的匀减速直线运动,运动4.0m后,冲上竖直半圆环,最后小球落在C点.求A、C间的距离. (取重力加速度g=10m/s2)


参考答案:1.2m


本题解析:
【错解分析】不能求出小球到达圆环最高点B的速度而错。不能分析小球恰好做圆周运动的条件。
【正解】匀速速运动过程中,有:
?①
恰好做圆周运动时物体在最高点B满足:

? ②
假设物体能达到圆环的最高点g,由机械能守恒:
? ③
联立①③可得
vb="3" m/s
因为vB>vB1,所以小球能通过最高点B.
小球从及点做平抛运动,有:
?④
SAC=vB·t ⑤
由④⑤得SAC=1.2m


本题难度:一般



3、填空题  (1)下列有关高中物理实验的描述中,正确的是:______.
A、在“验证力的平行四边形定则”的实验中,拉橡皮筋的细绳要稍长,并且实验时要使弹簧测力计与木板平面平行,同时保证弹簧的轴线与细绳在同一直线上
B、在“研究平抛物体的运动”的实验中,必须要用秒表测出平抛物体的运动时间
C、在“探究弹力和弹簧伸长的关系”的实验中,弹簧必须水平使用,以克服弹簧所受重力对实验的影响
D、在测量电动势和内阻的实验中,最好使用新电池.
(2)在用自由落体法“验证机械能守恒”的实验中:
(a)甲同学上交的实验报告中,显示重锤增加的动能略大于重锤减少的重力势能,则出现这一问题的可能原因是______
A.重锤的质量测量错误
B.用公式vt=gt计算各点的速度
C.直流电源的电压太小
D.重锤下落时受到的阻力过大
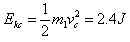
(b)乙同学实验所用重锤的质量m=1.0kg,打点记时器的频率为50Hz,打下的纸带如图所示(图中的数据为从起点O到该点的距离),则在打B点时,重锤的动能EkB=______J,从开始下落到打B点时,重锤的重力势能减小量是______J(g=9.8m/s2,结果取两位有效数字)


参考答案:(1)A、在“验证力的平行四边形定则”的实验中,拉橡皮筋的细绳要稍长,利于实验中作图,实验时要使弹簧测力计与木板平面平行,同时保证弹簧的轴线与细绳在同一直线上,这样才能把分力准确通过力的图示表示出来,故A正确.
B、在“研究平抛物体的运动”的实验中,小球每次从斜槽上同一位置静止释放,不需要用秒表测出平抛物体的运动时间.故B错误.
C、在“探究弹力和弹簧伸长的关系”的实验中,弹簧不一定要水平使用,但是在使用的过程中要考虑弹簧所受重力对实验的影响,故C错误.
D、在测量电动势和内阻的实验中,最好使用内阻比较大的旧电池.故D错误.
故选:A
(2)A.需要验证的公式:△mgh=△EK=12m(v22-v21)重锤的质量可以约调,所以重锤的质量测量错误对实验的结果没有影响.故A错误;
B.用公式vt=gt计算各点的速度,有可能会使得速度的计算结果偏大.故B正确;
C.电火花打点计时器使用交流电,故直流电源错误.故C错误;
D.重锤下落时受到的阻力过大,由于重锤下落时要克服阻力做功,有内能产生,根据能量守恒定律知,该实验的动能增量总是小于重力势能的减小量.
故D错误.
故选:B
(b)在匀变速直线运动中时间中点的瞬时速度等于该过程中的平均速度,因此有:vB=SAC2T
EK=12mv2B=12×1×(0.0502-0.01862×0.02)2J=0.31J
重力势能减小量△Ep=mgh=1.0×9.8×0.0324J=.032J.
故答案为:(1)A;(2)(a)B;(b)0.31;0.32


本题解析:


本题难度:一般



4、简答题  如图2-12所示,一轻绳两端各系一小球(可视为质点),质量分别为MmMm),跨放在一个光滑的半圆柱体上.两球从水平直径AB的两端由静止释放开始运动.当m刚好达到圆柱体侧面最高点C处时,恰脱离圆柱体.则两球质量之比Mm=?


参考答案:


本题解析:选系统为研究对象,由机械能守恒定律得:
Mg·=mgR+M+mv2?①
m到达最高点时恰离开圆柱体,据牛顿第二定律得:
mg=m?
联立①②式得:


本题难度:一般



5、选择题  如图所示,质量为m的小球固定于轻质弹簧的一端,弹簧的另一端固定于O点,将小球拉至A处,弹簧恰好无形变。由静止释放小球,它运动到O点正下方B点间的竖直高度差为h,速度为v。下列说法正确的是(? )

A.由A到B小球的机械能减少
B.由A到B重力势能减少mv2/2
C.由A到B小球克服弹力做功为mgh
D.小球到达B时弹簧的弹性势能为mgh-mv2/2


参考答案:AD


本题解析:小球、地球和弹簧组成的系统机械能守恒,由A到B过程弹簧的弹性势能增加了,因此小球的机械能减少,A正确;该过程小球重力势能减少等于小球动能增量和弹簧弹性势能增量之和,B错误;克服弹力做功等于弹性势能的增加,根据能量守恒定律可知小球到达B时弹簧的弹性势能为,C错误,D正确。


本题难度:一般




首页 上页 9 10 下页 尾页 10/10/10
微信搜索关注"91考试网"公众号,领30元,获取公务员事业编教师考试资料40G
【省市县地区导航】【考试题库导航】
 ★ 高考省级导航 ★ 
全国 A安徽 B北京 C重庆 F福建 G广东 广西 甘肃 贵州 H河南 河北 湖南 湖北 黑龙江 海南 J江苏 江西 吉林 L辽宁 N内蒙古 宁夏 Q青海 S山东 山西 陕西 四川 上海 T天津 X新疆 西藏 Y云南 Z浙江
 ★ 高考信息汇总 ★ 
 ★ 高考历年真题 ★ 
 ★ 高考历年真题 ★ 
 ★ 高考题库 ★ 
 ★ 高考题库 ★ 

电脑版  |  手机版  |  返回顶部