时间:2017-07-17 07:37:53
1、简答题 一个未知电阻Rx,阻值大约为1.0kΩ~1.2kΩ.为了较为准确的测定其电阻值,实验室中还备有如下器材:
电源E?(电动势3V、内阻可忽略) 电压表V?(量程3V、内阻约为3kΩ)?
电流表A1(量程3mA、内阻约为10Ω)
电流表A2(量程0.6A、内阻约为1Ω)? 滑动变阻器R的最大阻值为20Ω
开关S、导线若干
(1)在实验中电流表应选______.
(2)为了尽可能减少误差,且能够测量较多组数据,请你在虚线框中画出本实验的电路图.
(3)根据你所画的电路图在题给的实物图上用笔画线代替导线画出连接图.
参考答案:(1)未知电阻Rx,阻值大约为1.0kΩ~1.2kΩ.为了较为准确的测定其电阻值,所以实验中电流表应选A1.
(2)由于待测电阻阻值较大,从减小误差的角度选择滑动变阻器分压式接法和电流表内接法.电路图:
(3)根据电路图相应的画出实物图:
故答案为:(1)A1
(2)见上图
(3)见上图
本题解析:
本题难度:一般
2、计算题 ⑴读出下面游标卡尺和螺旋测微器的读数:
①?②
①__________mm;?②__________mm。
⑵(12分)如图1所示,虚线内是由电阻、电源组成的线性网络电路,为了研究它的输出特性,可将虚线内的电路等效为一只电动势为E、内电阻为r的电源。将电流表、电压表、滑动变阻器按图示方式连接在它的输出端A、B之间。闭合电键S,移动滑动变阻器滑动触头的位置,读出电流表、电压表的6组对应数据如图2所示。
①根据实验数据在图3的U-I 图象中画出该等效电源的伏安特性曲线。
②从图线上求出该等效电源的电动势E=?V,内电阻r=?Ω。
③该实验的系统误差主要是由__________________________引起的。
④电学元件M的伏安特性曲线如图4所示。若把电流表、电压表和滑动变阻器都撤掉,把M直接接在等效电源输出端AB之间,那么该电学元件消耗的实际电功率将是______W。
参考答案:(1)①14.60;②3.140?(2)①如右图所示②2.60V,1.0Ω③电压表的分流。④0.69W
本题解析:⑴①14.60;②3.140;⑵①如右图所示(注意:第4组数据舍去不用。)②2.60V,1.0Ω(注意:从坐标纸中读取数据也必须遵从有效数字读数规则,电动势必须写成2.60V;内阻是由计算得到的,保留2~3位有效数字都可以。)③电压表的分流。④0.69W(提示:在U-I图象中画出M和等效电源的两条伏安特性曲线,交点坐标就是通过该电学元件的实际电流和电压。)
本题难度:一般
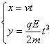
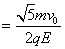
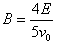
3、计算题 空间中存在水平向右的匀强电场,场强大小为E,一带电量为+q、质量为m的粒子,在P点以向上初速度v0开始运动,该粒子运动到图中Q点时速度方向与P点时的方向偏转了45°,若保持粒子在P点时的速度不变,而将匀强电场换成方向垂直于纸面向外的匀强磁场,在此磁场力的作用下粒子也由P点运动到Q点,不计重力。求:
(1)P、Q间的距离l为多少?
(2)匀强磁场的磁感应强度为多少? 
参考答案:解:(1)
解得:
?


(2)
?
本题解析:
本题难度:困难
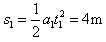
4、计算题 如图甲所示,在真空中足够大的绝缘水平地面上,一个质量为m=0.2kg,带电量为
的小物块处于静止状态,小物块与地面间的动摩擦因数μ=0.1。从t=0时刻开始,空间加上一个如图乙所示的场强大小和方向呈周期性变化的电场,(取水平向右为正方向,g取10m/s2)求:
(1)15秒末小物块的速度大小;
(2)15秒内小物块的位移大小。 
参考答案:解:(1)0~2s内物块加速度
位移
2s末的速度为
2~4s内物块加速度
位移
4s末的速度为
因此小物块做周期为4s的加速和减速运动,第14s末的速度也为
m/s
所以第15s末的速度
,方向向右(
)
(2)15秒内小物块的位移大小,可以看做是上述3个周期加上
和第15s内的位移
所求位移为
本题解析:
本题难度:一般
5、简答题 在测量电源的电动势和内阻的实验中,由于所用的电压表(视为理想电压表)的量程较小,某同学设计了如图所示的实物电路.
(1)实验时,应先将电阻箱的电阻调到?.(选填“最大值”、“最小值”或“任意值”)
(2)改变电阻箱的阻值R,分别测出阻值R0=10Ω的定值电阻两端的电压U,下列两组R的取值方案中,比较合理的方案是?.(选填“1”或“2”)
| 方案编号 | 电阻箱的阻值R/Ω 1 400.0 350.0 300.0 250.0 200.0 2 80.0 70.0 60.0 50.0 40.0 | ||||
| 1 U |
| 1 U |

参考答案:
本题解析:
本题难度:一般