高考物理试卷《气体的状态方程》试题强化练习(2017年最新版)(三)

时间:2017-07-17 07:29:21

微信搜索关注"91考试网"公众号,领30元,获取事业编教师公务员等考试资料40G

1、简答题  有一个皮球容积为v=2升,内有1个大气压的空气。现用体积是v0=0.125升的打气筒给皮球打气,若要使皮球内空气的压强达到2个大气压,需要打气多少次?


参考答案:16


本题解析:本题看似一个气体质量变化的问题,但若将需要打入皮球的空气和原来皮球内的空气一起作为研究对象,则气体的质量保持不变,忽略空气温度的变化,气体符合玻意耳定律。设需要打气n次,可以用图来表示气体的变化情况。
初状态:
末状态:
根据玻意耳定律:
有:
解得:


本题难度:简单



2、选择题  一定质量的理想气体,从图示A状态开始,经历了B、C,最后到D状态,下列说法中正确的是(  )
A.A→B温度升高,体积不变
B.B→C压强不变,体积变大
C.C→D压强变小,体积变大
D.B点的温度最高,C点的体积最大
91考试网


参考答案:AC


本题解析:


本题难度:一般



3、填空题  将一定质量的二氧化碳气体封闭在一可自由压缩的导热容器中,将容器缓慢移到海水某深处.实验发现,二氧化碳气体在水深170m处变成液体,它的密度比海水大,靠深海的压力使它永沉海底,以减少排放到大气中的二氧化碳量.容器中的二氧化碳处于汽液平衡状态时的压强随温度的增大而______(选填“增大”、“减小”或“不变”);在二氧化碳液体表面,其分子间的引力______(选填“大于”、“等于”或“小于”)斥力.


参考答案:容器中的二氧化碳处于汽液平衡状态时,体积不变,压强随温度的增大而增大,在二氧化碳液体表面,分子间的距离比较大,分子间的作用力表现为引力,所以其分子间的引力大于斥力.
故答案为:增大,大于


本题解析:


本题难度:简单



4、选择题  不定项选择
关于理想气体,下列说法正确的是 ( ? )
A.温度极低的气体也是理想气体
B.压强极大的气体也遵从气体实验定律
C.理想气体是对实际气体的抽象化模型
D.理想气体实际并不存在


参考答案:CD


本题解析:


本题难度:简单



5、简答题  如图所示,粗细均匀,两端开口的U形管竖直放置,管的内径很小,水平部分BC长14cm.一空气柱将水银柱分割成左右两段.大气压相当于76cm水银柱的压强.

(1)当空气柱温度为=274L,长为=8cm时,BC管内左边水银柱长2cm,则右边水银柱总长是多少?
(2)当空气柱温度升高到多少时,左边的水银柱恰好全部进入竖直管AB内?
(3)当空气柱的温度为490K时两竖直管内水银柱上表面高度各为多少?


参考答案:
(1)6cm?(2)420K?(3) 6cm


本题解析:
(1)因被封气体只能有一个压强,从左侧+2cmHg故有右侧竖直管内的水银柱也为2cm高,右侧水银柱总长:
=(2+14-10)cm=6cm
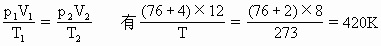
(2)空气柱长12cm时,左侧水银柱恰好全部进入竖直管内时气体压强
+4cmHg=80cmHg
  据
(3)当空气柱温度为490K时,右侧水银柱高度不变,上表面高度仍为4cm,对左侧
l=14cm
  左侧液面高h=(14+4-12)cm=6cm


本题难度:简单




首页 上页 2 3 4 下页 尾页 3/10/10
微信搜索关注"91考试网"公众号,领30元,获取公务员事业编教师考试资料40G
【省市县地区导航】【考试题库导航】
 ★ 高考省级导航 ★ 
全国 A安徽 B北京 C重庆 F福建 G广东 广西 甘肃 贵州 H河南 河北 湖南 湖北 黑龙江 海南 J江苏 江西 吉林 L辽宁 N内蒙古 宁夏 Q青海 S山东 山西 陕西 四川 上海 T天津 X新疆 西藏 Y云南 Z浙江
 ★ 高考信息汇总 ★ 
 ★ 高考历年真题 ★ 
 ★ 高考历年真题 ★ 
 ★ 高考题库 ★ 
 ★ 高考题库 ★ 

电脑版  |  手机版  |  返回顶部