时间:2017-07-10 22:31:32
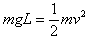
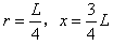
1、计算题 如图所示,质量为m的小球,由长为L的细线系住,细线的另一端固定在A点,AB是过A点的竖直线,在AB线上钉铁钉D,若线能承受的最大拉力为9mg,现将小球拉直成水平,然后静止释放,小球能绕钉子在竖直平面内做完整的圆周运动,求钉子位置到A点距离的取值范围。(不计线与钉子碰撞时的能量损失) 
参考答案:解:设铁钉D距A点距离为x,当绳子拉力最大
时,小球从最高点到最低点机械能守恒: 
对小球在最低点,由牛顿第二定律:
又因:
联立以上得:
小球绕D点做圆周运动到最高点有:
由以上可得:
,能做完整圆周运动
若小球绕D点刚好能做完整圆周运动,则从初始位置到最高有:
又因:
联立以上得:
综合可得:
本题解析:
本题难度:困难
2、选择题 一个物体以一定的初速度竖直上抛,不计空气阻力,那么如图所示,表示物体的动能Ek随高度h变化的图象A、物体的重力势能Ep随速度v变化的图象B、物体的机械能E随高度h变化的图象C、物体的动能Ek随速度v的变化图象D,可能正确的 是
[? ]
A.
B.
C.
D.
参考答案:ABCD
本题解析:
本题难度:一般
3、选择题 质量为m的物体,从静止开始以
| 3g 4 |
| 3 4 |
| 1 4 |
参考答案:A、物体从静止开始以3g4的加速度竖直向下运动了h米.则重力做正功,故A错误.
? B、C、由质量为m的物向下运动h高度,重力做功为mgh,则物体的重力势能减小mgh.故B、C错误.
?D、依题物体的加速度为3g4,说明除重力做功之外,还有其他力对物体做负功,物体的机械能应减小,由牛顿第二定律可知,此力大小为14mg,则此力做负功为14mgh.因此物体的机械能减少14mgh,故D正确.
故选D
本题解析:
本题难度:一般
4、选择题 质量均为m的甲、乙、丙三个小球,在离地面高为h处以相同的动能在竖直平面内分别做平抛、竖直下抛、沿光滑斜面下滑,则
[? ]
参考答案:ABC
本题解析:
本题难度:简单
5、简答题 图甲是“利用自由落体运动验证机械能守恒”的实验装置.让质量为m的重物自由下落,打出一条较为理想的纸带,O为打点计时器在纸带上打出的第一个点,选取纸带上连续打出的五个点A、B、C、D、E,并测量出OA间的距离为s1,AC间的距离为s2,CE间的距离为s3,如图乙所示.已知打点计时器使用的交流电频率为f,请你回答:(当地重力加速度g)
(1)在固定打点计时器时,应将其平面处于______?平面内.
(2)手持纸带保持竖直方向,使重物静止在靠近打点计时器的地方.接着要完成的是“A、放开纸带”和“B、接通电源”,这两个环节首先应该完成______(填字母).
(3)与重物相连接的是图乙中纸带的______端(选填“左”或“右”),打点计时器从打A点到打E点,重物运动的时间为______.
(4)打点计时器从打第一个点O点到打C点的过程中,重物的重力势能的减少量为△Ep=______计时器在打O点和C点的这段时间内,重物的动能增加量为△Ek=______.本实验误差的主要来源有______,______(试举出两条).
参考答案:(1)若打点计时器没有固定在竖直平面内,物体不可能做自由落体运动,在不能用此装置验证机械能守恒.
故答案为:竖直.
(2)开始记录时,应先给打点计时器通电打点,然后再释放重物,让它带着纸带一同落下,如果先放开纸带让重物下落,再接通打点计时时器的电源,由于重物运动较快,不利于数据的采集和处理,会对实验产生较大的误差.故选B.
故答案为:B.
(3)物体做加速运动,纸带上的点从左到右间距越来越大,因此重物相连接的是图乙中纸带的左端,打点周期为1f,因此从打A点到打E点,重物运动的时间为4f.
故答案为:左;4f.
(4)根据重力势能的定义式得:
重力势能减小量:△Ep=mgh=mg(s1+s2)
利用匀变速直线运动的推论得C点的速度为:
vC=(s2+s3)4T=f(s2+s3)4
△EK=12mv2C=m(s2+s3)2f232
实验误差的主要来源有:纸带与打点计时器之间有摩擦;测量间隔距离有误差;重物下落受到空气阻力交流电频率波动,长度测量,数据处理方法等.
故答案为:mg(s1+s2);m(s2+s3)2f232;空气阻力,交流电频率波动.
本题解析:
本题难度:一般