时间:2017-07-10 22:11:32
1、选择题 某交流发电机给灯泡供电,产生正弦式交变电流的图象如图,下列说法正确的是( ? )

2、计算题 某水力发电站,通过发电机的水流量Q=2m3/s、水流落差为h=5m。若发电机的总效率为η=50%,输出电压为U1=240V,输电线路的总电阻为r=30Ω,允许输电线路上最大的损失功率为输电总功率的6%,为满足用电需求,该输电线路使用的理想升压、降压变压器的匝数比各是多少?若用户使用的电灯均为“220V、100W”,则最多可使用多少盏这种规格的电灯?
3、简答题 如图17-2-10所示,一交流发电机线圈共50匝,ab="0.2" m,bc="0.1" m,总电阻为10 Ω,在B="0.5" T的匀强磁场中从磁通量最大位置开始以100 r/s的转速匀速转动,外电路中接有R为40 Ω的电阻.当线圈转过1/4周期时,求:
图17-2-10
(1)电流表的读数;
(2)电压表的读数;
(3)这段时间内通过外电阻R的电荷量q;
(4)在外电阻R上产生的焦耳热Q.
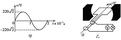
4、选择题 一台小型发电机产生的电动势随时间按正弦变化的规律如图甲所示.已知发电机线圈内阻为5.0 Ω,现外接一只电阻为95.0 Ω的灯泡,如图乙所示,则
A.电压表的示数为220 V
B.电路中的电流方向每秒钟改变50次
C.在t=1x10-2 s的时刻,穿过线圈的磁通量最大
D.发电机线圈内阻每秒钟产生的焦耳热为24.2 J
5、选择题 交流发电机在工作时的电动势e=Emsinωt.若将线圈匝数、线圈面积都提高到原来的两倍,其他条件不变,则电动势变为( )
A.e=2Emsinωt
B.e=4Emsinωt
C.e=12Emsinωt
D.e=14Emsinωt