时间:2017-07-10 21:25:59
1、选择题 下列说法正确的是
A.第一宇宙速度是人造卫星在空中环绕地球做匀速圆周运动的最小速度
B.发射速度大于第一宇宙速度小于第二宇宙速度,人造卫星将在高空沿圆轨道或椭圆轨道绕地球运行
C.如果需要,地球同步通讯卫星可以定点在地球上空任何一点
D.地球同步通讯卫星的轨道可以是圆的也可以是椭圆的
参考答案:B
本题解析:第一宇宙速度是人造地球卫星环绕地球做匀速圆周运动的最大速度,如果卫星以第一宇宙速度发射,它只能做紧贴地球表面的飞行.当发射速度在第一宇宙速度与第二宇宙速度之间时,卫星做环绕地球的飞行,可以是圆轨道也可以是椭圆轨道.地球同步通讯卫星只能在赤道上方特定的高度上飞行,所以正确的答案为B.
本题难度:简单
2、计算题 已知地球半径为6 400km,太阳向空间辐射的总功率为3.8×1026W,辐射到地球的太阳能总功率为1.7×1017 W。估计地球到太阳的距离,并计算太阳的质量。(G=6.67×10-11 N·m2/kg2)
参考答案:解:设地球到太阳的距离为R,由能量分配可得E总
因为E总=3.8×1026W,E=1.7×1017W
所以
已知地球绕太阳公转的周期,由万有引力定律得


本题解析:
本题难度:一般
3、选择题 一行星绕恒星作圆周运动。由天文观测可得,其运动周期为T,速度为v,引力常量为G,则
[? ]
A.恒星的质量为
?
B.行星的质量为
C.行星运动的轨道半径为
?
D.行星运动的加速度为
参考答案:ACD
本题解析:
本题难度:一般
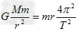
4、选择题 若已知某行星绕太阳公转的半径为r,公转的周期为T ,万有引力常量为G,则由此可求出
[? ]
A.某行星的质量?
B.太阳的质量?
C.某行星的密度?
D.太阳的密度
参考答案:B
本题解析:
本题难度:简单
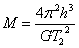
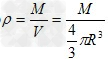
5、选择题 天文学家新发现了太阳系外的一颗行星。这颗行星的体积是地球的4.7倍,质量是地球的25倍。已知某一近地卫星绕地球运动的周期约为1.4小时,引力常量G=6.67×l0-11 N·m2/kg2,由此估算该行星的平均密度约为
[? ]
参考答案:D
本题解析:
本题难度:一般