时间:2017-07-10 21:11:56
1、选择题 光导纤维由“内芯’’和“包层’’两个同心圆柱体组成,其中心部分是内芯,内芯以外的部分为包层,光从一端进入,从另一端射出.下列说法正确的是( )
A.内芯的折射率大于包层的折射率
B.内芯的折射率小于包层的折射率
C.不同频率的可见光从同一根光导纤维的一端传输到另一端所用的时间相同
D.若紫光以如图所示角度入射时,恰能在内芯和包层分界面上发生全反射,则改用红光以同样角度入射时,也能在内芯和包层分界面上发生全反射
参考答案:A
本题解析:
本题难度:简单
2、填空题 (4分)直角玻璃三棱镜的截面如图所示,一条光线从AB面入射,ab为其折射光线,ab与AB面的夹角α=60°.已知这种玻璃的折射率n=
,则:
①这条光线在AB面上的的入射角为 ;
②图中光线ab (填“能”或“不能”)从AC面折射出去.
参考答案: ①45°;②不能。
本题解析:①根据折射定律可知:n=
,因此sini=
sin(90°-60°)=
,所以光线在AB面上的的入射角为:i=45°;
②该光线在AC面发生全反射的临界角为:C=arcsin
=45°,而根据图中几何关系可知,光线ab在AC面上的入射角为60°,因此在AC面上将发生全反射现象,故不能从AC面折射出去。
考点:本题主要考查了光的折射定律和全反射的应用问题,属于中档偏低题。
本题难度:一般
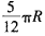
3、计算题 如图所示,一透明半圆柱体折射率为n=2,半径为R,长为L.一平行光束从半圆柱体的矩形表面垂直射入,从部分柱面有光线射出.求该部分柱面的面积S.
参考答案:
RL
本题解析:半圆柱体的横截面如图所示,OO′为半径.设从A点入射的光线在B点处恰好满足全反射条件,由折射定律有sin θ=

式中,θ为全反射临界角.由几何关系得∠O′OB=θ,S=2RL·∠O′OB
代入题所给条件得S=
RL.
本题难度:一般
4、选择题 如图所示,空气中有一折射率为
的玻璃柱体,其横截面是圆心角为90°、半径为R的扇形OAB,一束平行光平行于横截面,以45°入射角照射到OA上,OB不透光。若只考虑首次入射到圆弧AB上的光,则AB上有光透出部分的弧长为

[? ]




参考答案:B
本题解析:
本题难度:一般
5、选择题 下列有关光现象的说法正确的是( )
A.在光的双缝干涉实验中,若仅将入射光由紫光改为红光,则条纹间距一定变大
B.以相同入射角从水中射向空气,紫光能发生全反射,红光也一定能发射全反射
C.紫光照射某金属时有电子向外发射,红光照射该金属时也一定有电子向外发射
D.拍摄玻璃橱窗内的物品时,往往在镜头前加装一个偏振片以增加透射光的强度
参考答案:A
本题解析:
本题难度:一般