时间:2017-05-12 08:41:02
选择题 若 人造地球卫星绕地球做匀速圆周运动,则离地面越近的卫星
A.速度越大
B.角速度越大
C.加速度越大
D.周期越大
本题答案:ABC
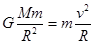
本题解析:根据公式
即
,即半径越小,速度越大,A正确;
根据公式
即
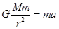
,所以半径越小,角速度越大,B正确,根据公式
可得
,所以半径越小,加速度越大,C正确,
根据公式
即
,即半径越大,周期越小,D错误,
思路分析:根据公式
,
,
,
分析
试题点评:本题考查了万有引力和牛顿运动定律得结合,即
本题所属考点:【万有引力与航天】
本题难易程度:【简单】