宇航员在飞船中绕月球表面做匀速圆周运动,假定月球是一个均匀的【万有引力与航天】(二)

时间:2017-05-12 08:36:54

微信搜索关注"91考试网"公众号,领30元,获取事业编教师公务员等考试资料40G

选择题  宇航员在飞船中绕月球表面做匀速圆周运动,假定月球是一个均匀的球体,宇航员要测出月球的密度,下列各组数据中需测量的是
A.飞船的运行周期
B.飞船的质量和体积
C.飞船的轨道半径和周期
D.月球绕地球运动的周期和轨道半径

本题答案:BD
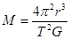
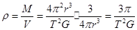
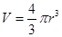
本题解析:已知飞船的运行周期可根据公式得月球的质量,月球的体积为,所以月球的密度为,A正确,如果知道飞船的质量和体积则无法求出月球的密度,B错误,飞船在月球表面运动,所以轨道半径等于月球的半径,故已知飞船的轨道半径和周期,同样可根据公式以及算出月球的密度,C正确,已知月球绕地球运动的周期和轨道半径,对于求月球的质量以及月球的体积没有任何帮助,所以D错误
思路分析:根据公式,只要知道飞船的运动周期,就可求出月球的密度,过程中可将月球的半径抵消掉,
试题点评:本题考查了对天体运动公式的灵活运用,


本题所属考点:【万有引力与航天】
本题难易程度:【简单】



All for one, one for all. 人人为我,我为人人.

首页 上页 1 2 下页 尾页 2/2/2
微信搜索关注"91考试网"公众号,领30元,获取公务员事业编教师考试资料40G
【省市县地区导航】【考试题库导航】
 ★ 高考省级导航 ★ 
全国 A安徽 B北京 C重庆 F福建 G广东 广西 甘肃 贵州 H河南 河北 湖南 湖北 黑龙江 海南 J江苏 江西 吉林 L辽宁 N内蒙古 宁夏 Q青海 S山东 山西 陕西 四川 上海 T天津 X新疆 西藏 Y云南 Z浙江
 ★ 高考信息汇总 ★ 
 ★ 高考历年真题 ★ 
 ★ 高考历年真题 ★ 
 ★ 高考题库 ★ 
 ★ 高考题库 ★ 

电脑版  |  手机版  |  返回顶部