关于人造地球卫星,下列说法正确的是A.第一宇宙速度是人造地【万有引力与航天】(二)

时间:2017-05-12 08:34:23

微信搜索关注"91考试网"公众号,领30元,获取事业编教师公务员等考试资料40G

选择题  关于人造地球卫星,下列说法正确的是
A.第一宇宙速度是人造地球卫星绕地球运动所必须的最大地面发射速度
B.第一宇宙速度是人造地球卫星绕地球作匀速圆周运动的最大速度
C.卫星离地面越高,运行速率越大,周期越小
D.卫星的轨道半径越大,需要的发射速度越大,在轨道上运行的速度越小

本题答案:BD
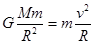
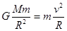
本题解析:根据公式可知第一宇宙速度还是卫星环绕地球的做圆周运动的最大速度也是发射卫星的最小速度,卫星距离地面越高,半径越大,其运行的速率越小,根据公式,所以轨道半径越大,周期越大,卫星的轨道半径越大,则需要克服更大的动能摆脱地球的引力,所以发射速度越大,故AC错误BD正确
思路分析 :根据公式,公式卫星的轨道半径越大,则需要克服更大的动能摆脱地球的引力分析
试题点评:本题考查了发射人造地球卫星的速度已经运行速度和轨道半径的关系


本题所属考点:【万有引力与航天】
本题难易程度:【一般】



The greatest artist was once a beginner. 最伟大的艺术家也曾是个初学者。

首页 上页 1 2 下页 尾页 2/2/2
微信搜索关注"91考试网"公众号,领30元,获取公务员事业编教师考试资料40G
【省市县地区导航】【考试题库导航】
 ★ 高考省级导航 ★ 
全国 A安徽 B北京 C重庆 F福建 G广东 广西 甘肃 贵州 H河南 河北 湖南 湖北 黑龙江 海南 J江苏 江西 吉林 L辽宁 N内蒙古 宁夏 Q青海 S山东 山西 陕西 四川 上海 T天津 X新疆 西藏 Y云南 Z浙江
 ★ 高考信息汇总 ★ 
 ★ 高考历年真题 ★ 
 ★ 高考历年真题 ★ 
 ★ 高考题库 ★ 
 ★ 高考题库 ★ 

电脑版  |  手机版  |  返回顶部