高考物理高频考点《气体的状态方程》试题预测(2017年最新版)(十)

时间:2017-03-05 17:12:57

微信搜索关注"91考试网"公众号,领30元,获取事业编教师公务员等考试资料40G

1、填空题  (1)某同学在用油膜法估测分子直径实验中,计算结果明显偏大,可能是由于?
A.油酸未完全散开
B.油酸中含有大量的酒精
C.计算油膜面积时舍去了所有不足一格的方格
D.求每滴体积时,lmL的溶液的滴数误多记了10滴

(2)在做“用油膜法估测分子大小”的实验时,油酸酒精溶液的浓度为每1000mL溶液中有纯油酸1mL,用注射器测得1mL上述溶液有200滴,把一滴该溶液滴入盛水的表面撒有痱子粉的浅盘里,待水面稳定后,测得油酸膜的近似轮廓如图所示,图中正方形小方格的边长为1cm,则每一滴油酸酒精溶液中含有纯油酸的体积是____________mL,油酸膜的面积是____________cm2。根据上述数据,估测出油酸分子的直径是_____?____m。


参考答案:(1)?AC?(2)? 5×10-6?? 40??? 1.25×10-9


本题解析:油酸分子直径等于油酸体积除以油膜面积,,计算结果明显偏大,可能是由于A.油酸未完全散开使得面积偏小,则直径偏大,对。C.计算油膜面积时舍去了所有不足一格的方格也使面积偏小,则直径偏大,对。油酸中含有大量的酒精不影响测量结果,B错。求每滴体积时,lmL的溶液的滴数误多记了10滴使得所测体积偏小,则直径偏小,D错。


本题难度:简单



2、选择题  如图所示,上端封闭的连通器A、B、C?三管中水银面相平,三管横截面积关系为SA>SB>SC,管内水银面上方的空气柱长度为hA>hB>hC,若从下方通过阀门K流出少量水银(保持三管中仍有水银),则三管中水银面的位置关系为( ?)
A.A管内最高
B.C管内最高
C.一样高
D.无法确定
91考试网


参考答案:B


本题解析:


本题难度:简单



3、计算题  (选修3-3选做题)
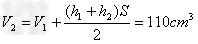
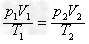
如图所示,竖直放置且粗细均匀的U形玻璃管与容积为v0=90 cm3的金属球形容器连通,用U形玻璃管中的水银柱封闭一定质量的理想气体,当环境温度为27 ℃时,U形玻璃管右侧水银面比左侧水银面高出h1=16 cm,水银柱上方空气柱长h0=20 cm。现在对金属球形容器缓慢加热,当U形玻璃管左侧水银面比右侧水银面高出h2=24 cm时停止加热,求此时金属球形容器内气体的温度为多少摄氏度?已知大气压p0=76 cmHg,U形玻璃管的横截面积为S=0.5 cm2。


参考答案:解:初始状态:p1=P0-h1=60 cmHg,V1=V0+h0S=100 cm3,T1=300 K
末状态:p2=P0+h2=100 cmHg,,T2=(273+t2) K
由理想气体状态方程有:
代入数据解得t2=277℃


本题解析:


本题难度:一般



4、选择题  如图所示,一根上粗下细(上下两段各自粗细均匀)的玻璃管上端开口、下端封闭,上端足够长,下端有一段水银柱封闭了一定质量的理想气体.现对封闭气体缓慢加热,气体温度不断升高,水银柱上升,则下图中的图线最接近被封闭气体体积V和热力学温度T关系的是(  )
A.
91考试网
B.
91考试网
C.
91考试网
D.
91考试网
91考试网


参考答案:当水银柱未进入细管时,封闭气体压强不变,发生等压变化,根据盖-吕萨克定律,体积与热力学温度成正比,V-t图象是过原点的倾斜的直线.
当水银柱进入细管时,封闭气体的压强逐渐减小,由题可知,T增大,V增大,
由气态方程PVT=nR,得:VT=nRP,
图线上的点与原点连线的斜率K=VT,当P减小时,K增大.
当水银柱完全进入粗管时,封闭气体压强不变,发生等压变化,根据盖-吕萨克定律,体积与热力学温度成正比,VT=c′=nRP′,V-t图象也是过原点的倾斜的直线,因为P>P′则这段直线斜率增大.
故选A.


本题解析:


本题难度:简单



5、选择题  如图所示是一定质量的理想气体的三个不同变化过程。则下列叙述正确的是( ? )

A.a→d过程气体的温度降低?
B.b→d过程气体的温度降低
C.c→d过程气体的温度降低?
D.b→d过程气体对外界做功


参考答案:A


本题解析:


本题难度:一般



Good watch prevents misfortune. 谨慎小心就不会遇到灾祸。

首页 上页 9 10 下页 尾页 10/10/10
微信搜索关注"91考试网"公众号,领30元,获取公务员事业编教师考试资料40G
【省市县地区导航】【考试题库导航】
 ★ 高考省级导航 ★ 
全国 A安徽 B北京 C重庆 F福建 G广东 广西 甘肃 贵州 H河南 河北 湖南 湖北 黑龙江 海南 J江苏 江西 吉林 L辽宁 N内蒙古 宁夏 Q青海 S山东 山西 陕西 四川 上海 T天津 X新疆 西藏 Y云南 Z浙江
 ★ 高考信息汇总 ★ 
 ★ 高考历年真题 ★ 
 ★ 高考历年真题 ★ 
 ★ 高考题库 ★ 
 ★ 高考题库 ★ 

电脑版  |  手机版  |  返回顶部