时间:2017-03-05 16:53:26
1、填空题 如图用伏安法测电阻时,如果不知道待测电阻的大概值时,为了选择正确的电路以减少误差,可将电压表一个接头分别在a、b两点接触一下,如果安培表读数没有显著变化,则P应接在_________处,如果伏特表读数没有显著变化,则P应接在__________处。
参考答案:a ; b
本题解析:根据欧姆定律和串并联规律可知,若电流表示数没有显著变化,说明电压表的分流作用较小,即电压表的内阻很大,由于电压表内阻越大时采用电流表外接法误差较小,所以电流表应采用外接法,即P应接在a处;如果电压表读数变化不明显,说明电流表的分压作用较小,即电流表内阻较小,由于电流表内阻越小时,电流表采用内接法时误差较小,所以P应接在b处.
考点:伏安法测电阻.
本题难度:一般
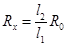
2、选择题 用图示的电路可以测量电阻的阻值。图中Rx是待测电阻,R0是定值电阻,G是灵敏度很高的电流表,MN是一段均匀的电阻丝。闭合开关,改变滑动头P的位置,当通过电流表G的电流为零时,测得
,
,则Rx的阻值为(?)
?
A.
B.
C.
D.
参考答案:C
本题解析:当电流表没有电流流过时,如下图,灵敏电流表两端即两个红色的端点之间电压为0即电势相等,那么从正极即黄色的端点到红色端点,一个是
与
串联时
所分电压,一个是
和
串联时
所分电压,串联电路电压与电阻成正比,所以
整理可得
选项C正确。
本题难度:一般
3、计算题 如图所示,用一直流电动机提升重物,重物的质量为m="10" kg,电源供电电压恒为220 V,电路中的保护电阻R=10
,电动机的电阻为r=1
,不计各处摩擦,电动机正常工作时电压表的示数为170V,求:
(1)电动机正常工作后通过电动机的电流是多少?
(2)重物匀速上升的速度是多少?(g取10 m/s2)
参考答案:(1)
(2)
本题解析:(1)R的电压
2分
通过电动机电流
1分
(2)对电动机:
1分
1分
2分
又因为电动机匀速提升重物
所以
1分
即
1分
考点:考查了电功,电功率的计算
本题难度:一般
4、选择题 为测某电阻R的阻值,分别接成图所示的甲、乙两电路,在甲电路中电压表和电流表的示数分别为3V、3mA,乙电路中两表示数分别为2.9 V和4 mA,则待测电阻的真实值应为(?)
A.比1000Ω略大一些
B.比1000Ω略小一些
C.比725Ω略大一些
D.比725Ω略小一些
参考答案:B
本题解析:用试触法判断电流表内外接方法是:哪个电表的变化大就用哪个表侧真实值,电压表的变化为?
,小于电流表的变化
,故应该电流表内接(甲图),
,因为电压表测量值比真实值偏大,所以真实值应比1000略小些,B正确,
点评:本题的关键是理解用试触法判断电流表内外接方法是:哪个电表的变化大就用哪个表侧真实值,
本题难度:一般
5、填空题 (2分)如图所示,有一个表头G,满偏电流为Ig=1mA,内阻Rg=100Ω,用它改装为有5V和50V两种量程的电压表,则R1= Ω.
参考答案:4900
本题解析:把电流表改装成电压表需要串联一个分压电阻,应用串联电路特点与欧姆定律可以求出串联电阻阻值.
解:把电流表改装成5V的电压表,需要串联电阻的阻值:
R1=
本题难度:一般