时间:2017-03-05 16:38:12
1、选择题 一列机械波先后在不同的介质中传播.在这一过程中,一定保持不变的物理量是( )
A.波长
B.频率
C.波速
D.传播方向
参考答案:A、根据波速与波长和频率的关系公式v=λf,当机械波由一种介质进入另一种介质中时,波速变化(波速由介质决定)而频率不变(频率由波源决定),故波长一定变化,故A错误;
B、由机械波的形成原因可以得到各个质点的振动频率相同,故B正确;
C、波速由介质决定,不同介质中波速不同,故C错误;
D、当机械波传播到两种介质的分界面上时,会同时发生反射和折射,传播方向发生改变,故D错误;
故选B.
本题解析:
本题难度:一般
2、计算题
(1)在以下说法中,正确的是?(本小题6分。在给出的四个选项中,可能只有一项符合题目要求,也可能有多项符合题目要求。全部选对的得6分,选对但不全的得3分,有选错的得0分)
A.电磁波谱包括无线电波、红外线、可见光、紫外线、X射线、γ射线
B.牛顿环是薄膜干涉的结果,当用频率更高的单色光照射时,同级牛顿环半径将会变大
C.机械波是介质传递波源质点以及振动能量的一种方式
D.麦克耳孙-莫雷实验结果表明:不论光源与观察者做怎样的相对运动,光速都是一样的
(2)如图所示,半圆玻璃砖的半径R=10cm,折射率为n=
,直径AB与屏幕垂直并接触于A点.激光a以入射角i=30°射向半圆玻璃砖的圆心O,结果在水平屏幕MN上出现两个光斑.求两个光斑之间的距离L.
参考答案:(1)AD(2)
本题解析:(1)AD?(本小题6分。在给出的四个选项中,可能只有一项符合题目要求,也可能有多项符合题目要求。全部选对的得6分,选对但不全的得3分,有选错的得0分)
(2)(9分)解:画出如图光路图,设折射角为r,根据折射定律

解得 
由几何知识得,ΔOPQ为直角三角形,所以两个光斑PQ之间的距离
解得?
本题难度:一般
3、计算题 一根弹性绳沿x轴方向放置,左端在原点O,用手握住绳的左端使其沿y轴方向做周期为1 s的简谐运动,于是在绳上形成一列简谐波,求:
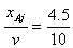
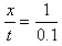
(1)若从波传到平衡位置在x=1 m处的M质点时开始计时,那么经过的时间Δt等于多少时,平衡位置在x=4.5 m处的N质点恰好第一次沿y轴正向通过平衡位置?
(2)从绳的左端点开始做简谐运动起,当它通过的总路程为88 cm时,N质点振动通过的总路程是多少? 
参考答案:解:(1)图示时刻O点刚好沿y轴正向通过平衡位置,由图知波长为2 m
波速v=
=2 m/s
到达N点的时间t=
=2.25 s
(2)一个周期内O点经过的路程为32 cm,通过88 cm的路程经过的周期个数为N=
个=2.75个
从O点传到N点需要2.25个周期,故在O点通过的总路程为88 cm时,N质点振动了半个周期,故N质点振动通过的总路程是16 cm
本题解析:
本题难度:一般
4、选择题 一列简谐横波沿
轴正方向传播,在
秒与
秒两个时刻,在
轴上(-3m,3m)区间的波形完全相同,如图所示.并且图中M、N两质点在t秒时位移均为
,下列说法中不正确的是( )