高考物理题《波长、波速和频率的关系》高频试题特训(2017年最新版)(三)

时间:2017-03-02 11:03:48

微信搜索关注"91考试网"公众号,领30元,获取事业编教师公务员等考试资料40G

1、选择题  一列简谐横波,沿x轴正方向传播,传播速度为10m/s,在t=0时的波形图如图所示,则下列说法正确的是           (有三个选项正确,选对一个得2分,选对两个得4分,选对三个得5分,选错一个扣3分,最低得0分)
A.此时x=1.25m处的质点正在做加速度减小的加速度运动
B.x=0.7m处的质点比x=0.6m处的质点先运动到波峰的位置
C.x=0处的质点再经过0.05s时间可运动到波峰位置
D.x=0.3m处的质点再经过0.08s可运动至波峰位置
E.x=1m处的质点在做简谐运动,其振动方程为


参考答案:ACD


本题解析:由于波向右传播,故此时x=1.25m处的质点向下振动,正在做加速度减小的加速度运动,选项A正确;因为x=0.7m处的质点和x=0.6m处的质点都向下振动,到最低点后向上振动到达波峰;则x=0.6m处的质点比x=0.7m处的质点先运动到波峰的位置,选项B错误;波的周期,故再经过0.05s时间,即,x=0处的质点可运动到波峰位置,选项C正确;x=0.3m处的质点要振动到波峰位置,只需波向前传播0.8m,则经过的时间为,选项D正确;x=1m处的质点在做简谐运动,其振动方程为,选项D错误;故选ACD。
考点:机械波的传播;质点的振动.


本题难度:一般



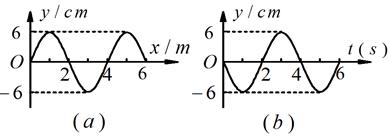
2、选择题  (5分)图(a)为一列简谐横波在t=0时的波形图,图(b)为介质中平衡位置在x=4m处的质点P的振动图象。下列说法正确的是        。(填正确答案标号。选对1个得2分,选对2个得4分,选对3个得5分。每选错1个扣3分,最低得分为0分)
A.质点P的振幅为6cm
B.横波传播的波速为1m/s
C.横波沿x轴负方向传播
D.在任意4s内P运动的路程为24cm
E.在任意1s内P运动的路程为6cm


参考答案:ABD


本题解析:从波的图像和P点的振动图象可知:振幅为6cm,波长为4m,周期为4s,A正确;波速,B正确;零时刻P点从平衡位置向下运动,说明横波沿x轴正方向传播,C错误;在任意4s内P点完成了一个全振动,运动的路程为四倍振幅24cm,D正确;任意1s内P运动的路程不一定等于振幅,E错误。故选ABD。
考点:振动图象、波的图像


本题难度:一般



3、计算题  图示为一列简谐横波在介质中同一区域传播的情况,实线为t1时刻波形图;虚线为t2时刻波形图,已知?。
(1)如果这列波向右传播,波速多大?
(2)如果这列波向左传播,波速多大?


参考答案:解:(1)如果波向右传播,则有
解得
又由
可得
(2)如果波向左传播,则有
解得
又由
可得


本题解析:


本题难度:一般



4、简答题  如图所示,小球P一边贴着水面每秒振动5次,一边沿x轴正方向匀速移动,x=0点
是它的初始位置,图示为恰经10个周期时观察到的水面波,此时小球运动到x=20cm处.问:
(1)在x=-20cm处的浮子的振动频率比波源频率大还是小?
(2)小球P匀速移动的速度及此水面波的传播速度分别多大?91考试网


参考答案:(1)由图可知,质点在向右移动,故在x=-20cm处的浮子的振动频率比波源频率小
(2)小球P振动的周期T=15s=0.2s
小球P振动10个周期所用时间t=10T=2s
小球P的速度v1=s1t=0.22m/s=0.1m/s
水面波的传播速度v2=s2t=0.42m/s=0.2m/s;
答:x=-20cm处的浮子的振动频率比波源频率小;(2)小球P的速度为0.1m/s,水面波的传播速度为0.2m/s.


本题解析:


本题难度:一般



5、选择题  一列简谐波沿一直线向右传播,当直线上某质点A向上运动到最大位移时,在质点A右方相距0.3m的质点B刚好向下运动到最大位移处,则这列波的波长可能是(  )?
①0.90m②0.60m③0.30m④0.20m?
A.①②
B.②③?
C.③④
D.②④?


参考答案:设AB平衡位置间距离为x.由题给条件,得到
x=(2n+1)λ2(n=0,1,2,、),
则得 λ=2x2n+1=0.62n+1m
当n=0时,λ=0.6m
当n=1时,λ=0.2m
因n是整数,λ不可能等于0.9m和0.3m.故②④正确
故选D


本题解析:


本题难度:一般




首页 上页 2 3 4 下页 尾页 3/10/10
微信搜索关注"91考试网"公众号,领30元,获取公务员事业编教师考试资料40G
【省市县地区导航】【考试题库导航】
 ★ 高考省级导航 ★ 
全国 A安徽 B北京 C重庆 F福建 G广东 广西 甘肃 贵州 H河南 河北 湖南 湖北 黑龙江 海南 J江苏 江西 吉林 L辽宁 N内蒙古 宁夏 Q青海 S山东 山西 陕西 四川 上海 T天津 X新疆 西藏 Y云南 Z浙江
 ★ 高考信息汇总 ★ 
 ★ 高考历年真题 ★ 
 ★ 高考历年真题 ★ 
 ★ 高考题库 ★ 
 ★ 高考题库 ★ 

电脑版  |  手机版  |  返回顶部