-->

1、选择题  下列描述中正确的是(  )
A.卢瑟福的原子核式结构学说能很好地解释α粒子散射实验事实
B.放射性元素发生β衰变时所释放的电子来源于原子的核外电子
C.氢原子吸收一个光子跃迁到激发态后,再向低能级跃迁时放出光子的频率一定等于 ">

高考物理知识点总结《原子核的衰变、半衰期》试题强化练习(2017年最新版)

时间:2017-03-02 10:44:31

微信搜索关注"91考试网"公众号,领30元,获取事业编教师公务员等考试资料40G

1、选择题  下列描述中正确的是(  )
A.卢瑟福的原子核式结构学说能很好地解释α粒子散射实验事实
B.放射性元素发生β衰变时所释放的电子来源于原子的核外电子
C.氢原子吸收一个光子跃迁到激发态后,再向低能级跃迁时放出光子的频率一定等于入射光子的频率
D.分别用X射线和紫光照射同一金属表面都能发生光电效应,则用X射线照射时光电子的最大初动能较大
E.


23490
Th(钍)核衰变为
23491
Pa(镤)核时,衰变前Th核质量大于衰变后Pa核与β粒子的总质量


参考答案:A、卢瑟福的原子核式结构学说能很好地解释α粒子散射实验事实,A正确;
B、放射性元素发生β衰变时所释放的电子来源于中子转化为质子后产生的电子,B错误;
C、氢原子吸收一个光子跃迁到激发态后,再向低能级跃迁时放出光子的频率有多种,C错误;
D、分别用X射线和紫光照射同一金属表面都能发生光电效应,X射线的频率大,则用X射线照射时光电子的最大初动能较大,D正确;
E、衰变时有质量亏损释放出能量,所以衰变前Th核质量大于衰变后Pa核与β粒子的总质量,E正确;
故选ADE


本题解析:


本题难度:一般



2、选择题  日本福岛核电站泄漏事故中释放出大量的碘131,碘131是放射性同位素,衰变时会发出β射线与γ射线,碘131被人摄人后,会危害身体健康,由此引起了全世界的关注.下面关于核辐射的相关知识,说法正确的是(  )
A.人类无法通过改变外部环境来改变碘131衰变的快慢
B.碘131的半衰期为8.3天,则4个碘原子核经16.6天后就一定剩下一个原子核
C.β射线与γ射线都是电磁波,但γ射线穿透本领比β射线强
D.碘131发生β衰变时所释放的电子是原子核内的中子转化为质子时产生的


参考答案:A、衰变的快慢与外部环境无关,由原子核内部因素决定.故A错误.
B、半衰期适用于大量的原子核,对于少量的原子核不适用.故B错误.
C、β射线是电子流,不是电磁波,γ射线是电磁波,穿透本领较强.故C错误.
D、β衰变时,电子来自原子核,是原子核中的一个中子转变为一个质子和一个电子,电子释放出来,电子不是来自核外电子.故D正确.
故选D.


本题解析:


本题难度:一般



3、填空题  一个600)makesmallpic(this,600,1800);\' src=\"http://www_php168_com/91files/2016060400/cannxazfkdp.png\" style=\"vertical-align:middle;\">原子核中含有的中子个数是__________;600)makesmallpic(this,600,1800);\' src=\"http://www_php168_com/91files/2016060400/cannxazfkdp.png\" style=\"vertical-align:middle;\">具有放射性,现有600)makesmallpic(this,600,1800);\' src=\"http://www_php168_com/91files/2016060400/cannxazfkdp.png\" style=\"vertical-align:middle;\">?元素16g,经15天,该元素还剩2g,则该元素的半衰期为__________天。


参考答案:127? 5?(2分,每空1分)


本题解析:600)makesmallpic(this,600,1800);\' src=\"http://www_php168_com/91files/2016060400/cannxazfkdp.png\" style=\"vertical-align:middle;\">原子核中质子数为83个,质子与中子的总和共有210个,因此中子数为210-83=127个; 600)makesmallpic(this,600,1800);\' src=\"http://www_php168_com/91files/2016060400/cannxazfkdp.png\" style=\"vertical-align:middle;\">共16g,经过一个半衰期还剩8g,经过2个半衰期还剩4g,经过3个半衰期还剩2g,这样15天恰好等于3个半衰期,因此半衰期为5天


本题难度:一般



4、计算题  钍核600)makesmallpic(this,600,1800);\' style=\"VERTICAL-ALIGN: middle\" border=\"0\" src=\"http://www_php168_com/91files/2016060400/lm30ntdo3ye.gif\">发生衰变生成镭核600)makesmallpic(this,600,1800);\' style=\"VERTICAL-ALIGN: middle\" border=\"0\" src=\"http://www_php168_com/91files/2016060400/vzkvx5t3bjh.gif\">并放出一个粒子,设该粒子的质量为m、电荷量为q,它进入电势为U的带窄缝的平行平板电极S1和S2间电场时,其速度为v0,经电场加速后,沿Ox方向进入磁感应强度为B、方向垂直纸面向外的有界匀强磁场,Ox垂直平板电极S2,当粒子从P点离开磁场时,其速度方向与Ox方向的夹角θ=60°,如图所示,整个装置处于真空中。
(1)写出钍核衰变方程;
(2)求粒子在磁场中沿圆弧运动的轨道半径R;
(3)求粒子在磁场中运动所用时间t。
600)makesmallpic(this,600,1800);\' style=\"VERTICAL-ALIGN: middle\" border=\"0\" src=\"http://www_php168_com/91files/2016060400/v3ubtwtwsoa.gif\">


参考答案:解:(1)钍核衰变方程600)makesmallpic(this,600,1800);\' style=\"VERTICAL-ALIGN: middle\" border=\"0\" src=\"http://www_php168_com/91files/2016060400/hypb1hnmqef.gif\">
(2)设粒子离开电场时速度为v,对加速过程有600)makesmallpic(this,600,1800);\' style=\"VERTICAL-ALIGN: middle\" border=\"0\" src=\"http://www_php168_com/91files/2016060400/gxbc4tsuhd3.gif\">①
粒子在磁场中有600)makesmallpic(this,600,1800);\' style=\"VERTICAL-ALIGN: middle\" border=\"0\" src=\"http://www_php168_com/91files/2016060400/blbjrvmvtt2.gif\">②
由①②式得600)makesmallpic(this,600,1800);\' style=\"VERTICAL-ALIGN: middle\" border=\"0\" src=\"http://www_php168_com/91files/2016060400/sx3nggzllrm.gif\">
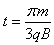
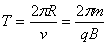
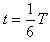
(3)粒子做圆周运动的回旋周期600)makesmallpic(this,600,1800);\' style=\"VERTICAL-ALIGN: middle\" border=\"0\" src=\"http://www_php168_com/91files/2016060400/0pcczyh5xgz.gif\">③
粒子在磁场中的运动时间600)makesmallpic(this,600,1800);\' style=\"VERTICAL-ALIGN: middle\" border=\"0\" src=\"http://www_php168_com/91files/2016060400/ok4wudyruvw.gif\">④
由③④式得600)makesmallpic(this,600,1800);\' style=\"VERTICAL-ALIGN: middle\" border=\"0\" src=\"http://www_php168_com/91files/2016060400/wv50toxbwtk.gif\">


本题解析:


本题难度:困难



5、选择题  放射性同位素600)makesmallpic(this,600,1800);\' style=\"VERTICAL-ALIGN: middle\" border=\"0\" src=\"http://www_php168_com/91files/2016060400/gb4swkqegja.gif\">可用来推算文物的“年龄”。600)makesmallpic(this,600,1800);\' style=\"VERTICAL-ALIGN: middle\" border=\"0\" src=\"http://www_php168_com/91files/2016060400/gb4swkqegja.gif\">的含量每减少一半要经过约5730年。某考古小组挖掘到一块动物骨骼,经测定600)makesmallpic(this,600,1800);\' style=\"VERTICAL-ALIGN: middle\" border=\"0\" src=\"http://www_php168_com/91files/2016060400/qy4rxrjkgsr.gif\">还剩余1/8,推测该动物生存年代距今约为

[? ]


A.5730×3年
B.5730×4年
C.5730×6年
D.5730×8年


参考答案:A


本题解析:


本题难度:一般




微信搜索关注"91考试网"公众号,领30元,获取公务员事业编教师考试资料40G
【省市县地区导航】【考试题库导航】
 ★ 高考省级导航 ★ 
全国 A安徽 B北京 C重庆 F福建 G广东 广西 甘肃 贵州 H河南 河北 湖南 湖北 黑龙江 海南 J江苏 江西 吉林 L辽宁 N内蒙古 宁夏 Q青海 S山东 山西 陕西 四川 上海 T天津 X新疆 西藏 Y云南 Z浙江
 ★ 高考信息汇总 ★ 
 ★ 高考历年真题 ★ 
 ★ 高考历年真题 ★ 
 ★ 高考题库 ★ 
 ★ 高考题库 ★ 

电脑版  |  手机版  |  返回顶部