时间:2017-03-02 10:30:13
1、选择题 下列几种情况中,物体处于平衡状态的是( )
A.静止在粗糙水平面上的物体
B.沿光滑斜面自由下滑的物体
C.做自由落体运动的物体
D.在不光滑的水平面上做匀速直线运动的木块
参考答案:A、静止在粗糙斜面上的物体,合力为零,处于平衡状态.故A正确.
B、沿光滑斜面下滑的物体做匀加速直线运动,合力不为零,处于非平衡状态.故B错误.
C、做自由落体运动的物体,其合力等于重力不为零,处于非平衡状态.故C错误.
D、在不光滑的水平面上做匀速直线运动的木块,速度保持不变,所受合外力为零,处于平衡状态,D正确.
故选:AD.
本题解析:
本题难度:一般
2、选择题 如图所示,两根等长的轻绳将日光灯悬挂在天花板上,两绳与竖直方向的夹角为45°,日光保持水平,所受重力为G,左右两绳的拉力大小分别为
[? ]
A.G和G?
B.
和
C.
和
?
D.
和
参考答案:B
本题解析:
本题难度:简单
3、实验题 如图所示,轻绳一端固定在A点,另一端B点系重力G="120" N的物体,C是表面光滑的固定圆柱体.则绳对此圆柱体的压力大小为F=__________N,方向与水平方向成__________角,斜向__________方.
参考答案:120? 30°?左下方
本题解析:对重物,受力平衡,有FT="G=120" N.
圆柱体所受绳作用的两力的合力,可由平行四边形定则求解,如图所示,由图知,两力相等,且夹角为120°,三角形ACF为等边三角形,所以F=FT="120" N,此合力即为对圆柱体的压力,其方向与水平方向成θ=30°的夹角,斜向左下方. 
本题难度:简单
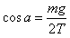
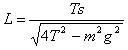
4、计算题 在两根长度相等的轻绳下端悬挂一质量为m的物体,上端分别固定在水平天花板上的M、N点,M、N两点的距离为s,如图所示。已知两绳所能经受的最大拉力为T,则每根绳子的长度最短为多少? 
参考答案:解:先选定物体m为研究对象,对其进行受力分析,如图所示,物体受三个力:重力mg和两根绳的拉力T
用正交分解法,将T正交分解,由物体的平衡条件得
,从而
又由几何关系得
解得,每根绳子的长度最短为
本题解析:
本题难度:一般
5、计算题 某同学在研究气体的等容变化规律时,在实验室将一玻璃瓶开口向上竖直放入烧杯中的水里,缓慢加热到
时,用一个软木塞封住瓶口,然后将烧杯中水温缓慢降至
,若想向上拔出软木塞,至少需要施加多大外力?已知大气压强
,瓶口面积
,软木塞的重量
,取热力学温度
,(软木塞与瓶口之间的摩擦不计).
参考答案:
本题解析:
试题分析:以玻璃瓶内气体为研究对象,
,
,
,由查理定律可得:
?(2分)
以软木塞为研究对象,由平衡条件得:
?(2分)
联立解得:
?(2分)
本题难度:一般