时间:2017-03-02 10:26:34
1、简答题 在如图所示的十字路口处,有一辆长9m、宽2.1m的客车,客车正以10m/s速度正常匀速行驶在马路中间,当它与斑马线的中点B相距62m时,马路边上的小王同学正好在斑马线中间A点出发沿AB穿过马路,A、B间的距离为8m,问:小王同学运动的速度为多大时,能够安全过马路?
参考答案:大于1.63m/s或小于1.13m/s
本题解析:
人刚穿过时车再过线:
;
;
车刚穿过是人再穿过
,s=7.1s;
;
所以大于1.63m/s或小于1.13m/s.
本题难度:简单
2、选择题
如图所示,光滑斜面上的四段距离相等,质点从O点由静止开始下滑,做匀加速直线运动,先后通过a、b、c、d…,下列说法正确的是( )
A.质点由O到达各点的时间之比ta:tb:tc:td=1:2:3:4?
?B.质点通过各点的速率之比va:vb:vc:vd=1:
:
:2
C.在斜面上运动的平均速度
?=vb
D.在斜面上运动的平均速度
<vb

参考答案:BD
本题解析:
本题难度:简单
3、简答题 一辆汽车由静止开始出发,要在200s时间内追上前面1500m处正以10m/s的速度同向匀速前进的自行车,已知这辆汽车的最大速度为20m/s,那么汽车匀加速行驶的加速度至少是多少?
参考答案:设汽车的匀加速直线运动的加速度为a.
有:12at2=v1t+1500
代入数据得,12×a×40000=10×200+1500,解得a=0.175m/s2.
此时汽车的速度v=at=35m/s>20m/s.所以汽车达到最大速度后做匀速直线运动.
则汽车做匀加速直线运动的时间t1=vma=20a
则有:vm22a+vm(t-vma)=v1t+1500
代入数据解得a=0.4m/s2.
答:汽车匀加速行驶的加速度至少是0.4m/s2.
本题解析:
本题难度:一般
4、简答题 甲、乙两车同时同向从同一地点出发,甲车以v1=16m/s的初速度,a1=-2m/s2的加速度做匀减速直线运动,乙车以v2=4m/s的初速度,a2=1m/s2的加速度做匀加速直线运动,求:
(1)两车相遇前,两车之间的最大距离;
(2)两车相遇时,它们运动的时间.
参考答案:当两车速度相等时,两车距离最大,
由匀变速直线运动的速度公式得:vt=v甲-a甲t1,vt=v乙+a乙t1,
两式联立解得:t=4s
此时两车相距的最大距离为:△s=s甲-s乙=(v甲t1-12at12)-(v乙t1+12a乙t12)=24(m)
当乙车追上甲时,两车运动位移相等,有:v甲t-12a甲t2=v乙t+12a乙t2,
解得:t=2(v甲-v乙)a甲+a乙=8(s),(t=0舍去)
答:(1)两车间的最大距离为24m;
(2)相遇时两车运动的时间为8s.
本题解析:
本题难度:一般
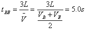
5、计算题 如图所示,在一条平直的公路上有等间距的五个点A、B、C、D、E,相邻两点间距离为L=30m。一辆汽车在公路上做匀加速直线运动,经过这五个点,已知汽车(车头最前端)通过AB段和BC段所用时间分别为3s和2s。试求:
(1)汽车的加速度a的大小;
(2)汽车(车头最前端)经过E点时刻的速度大小;
(3)汽车(车头最前端)经过BE所用时间。 
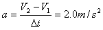
参考答案:解:(1)可求:AB中间时刻的速度
BC中间时刻的速度
加速度
(2)B点速度
?
(3)
本题解析:
本题难度:一般