-->

1、填空题  关于热力学温标和摄氏温标(?)
A.热力学温标中的每1 K与摄氏温标中每1 ℃大小相等
B.热力学温度升高1 K大于摄氏温度升高1 ℃
C.热力学温度升高1 K等于摄氏温度升高1 ℃
D.某物体摄氏温度10 ℃,即热力 ">

高考物理知识点总结《分子动能、分子势能、内能》考点巩固(2017年最新版)

时间:2017-03-02 10:15:14

微信搜索关注"91考试网"公众号,领30元,获取事业编教师公务员等考试资料40G

1、填空题  关于热力学温标和摄氏温标(?)
A.热力学温标中的每1 K与摄氏温标中每1 ℃大小相等
B.热力学温度升高1 K大于摄氏温度升高1 ℃
C.热力学温度升高1 K等于摄氏温度升高1 ℃
D.某物体摄氏温度10 ℃,即热力学温度10 K


参考答案:AC


本题解析:热力学温标和摄氏温度尽管是不同标准的计数方式,但仅是起点不同,热力学温标中变化1 K与摄氏温标中变化1 ℃是相同的,故A、C对,B错.摄氏温度为10 ℃的物体,热力学温度为283 K.D错.


本题难度:简单



2、选择题  甲、乙两个相同的密闭容器中分别装有等质量的同种气体,已知甲、乙容器中气体的压强分别为p甲、P乙,且p甲<p乙.则(  )
A.甲容器中气体的温度高于乙容器中气体的温度
B.甲容器中气体的温度低于乙容器中气体的温度
C.甲容器中气体分子的平均动能小于乙容器中气体分子的平均动能
D.甲容器中气体分子的平均动能大于乙容器中气体分子的平均动能


参考答案:BC


本题解析:


本题难度:一般



3、选择题  (8分)下列说法正确的是
A.当分子间的距离增大时,分子势能一定减小
B.判断物质是晶体还是非晶体,主要从该物质是否有固定的熔点来看
C.水对玻璃是浸润液体,是因为在玻璃与水的接触面处,玻璃分子对水分子的引力大于水分子间的引力
D.在相同温度下,不同气体的分子平均动能是不同的


参考答案:BC


本题解析:当分子间的距离小于平衡距离,分子力是斥力,间距增大分子力做正功,分子势能减小,当分子间的距离大于平衡距离,分子力是引力,间距增大分子力做负功,分子势能增大,选项A错误;有无熔点是晶体和非晶体的主要区别,选项B正确;当液体分子之间的吸引力小于液体分子于固体分子之间的吸引力时,表现为润湿, 水对玻璃是浸润液体,说明在玻璃与水的接触面处,玻璃分子对水分子的引力大于水分子间的引力,选项C正确;温度是平均动能的标志,任何物体只要温度相同,分子平均动能相同,选项D错误。


本题难度:一般



4、计算题  “和平号”空间站已于2001年3月23日成功地坠落在南太平洋海域,坠落过程可简化为从一个近圆轨道(可近似看做圆轨道)开始,经过与大气摩擦,空间站的大部分经过升温、熔化、最后汽化而销毁,剩下的残片坠入大海。此过程中,空间站原来的机械能中除一部分用于销毁和一部分被残片带走外,还有一部分能量E\"通过其他方式散失(不考虑坠落过程中化学反应的能量)。
(1)试导出用下列各物理量的符号表示散失能量E\"的公式;
(2)算出E\"的数值(结果保留两位有效数字)。
坠落开始时空间站的质量为M=1.17×105 kg;
轨道离地面的高度为h=146km;
地球半径为R=6.4×106m;
坠落空间范围内重力加速度可看做g=10m/s2;
入海残片的质量m=1.2×104kg;
入海残片的温度升高了△T=3 000K;
入海残片的入海速度为声速v=340m/s;
空间站材料每1kg升温1K平均所需能量c=1.0×103J;
每销毁1kg材料平均所需能量μ=1.0×107J。


参考答案:解:(1)根据题目所给条件,从近圆轨道到地面的空间中重力加速度g=10m/s2。若以地面为零势能面,坠落过程开始时空间站在近圆轨道的势能为Ep=Mgh ①
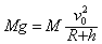
以v0表示空间站在近圆轨道上的速度,根据引力提供向心力,由牛顿运动定律得600)makesmallpic(this,600,1800);\' style=\"VERTICAL-ALIGN: middle\" border=\"0\" src=\"http://www_php168_com/91files/2016060405/1uf2eao0pj1.gif\"> ②
由②式可得空间站在近圆轨道上的动能为600)makesmallpic(this,600,1800);\' style=\"VERTICAL-ALIGN: middle\" border=\"0\" src=\"http://www_php168_com/91files/2016060405/ns0vy0olznu.gif\"> ③
由①、③得在近圆轨道上空间站的机械能600)makesmallpic(this,600,1800);\' style=\"VERTICAL-ALIGN: middle\" border=\"0\" src=\"http://www_php168_com/91files/2016060405/ysqrpi1vsax.gif\"> ④
在坠落过程中,用于销毁所需的能量为Q汽=(M-m)/μ ⑤
用于残片升温所需的能量为Q残=cm△T ⑥
残片入海时的动能为E残=600)makesmallpic(this,600,1800);\' style=\"VERTICAL-ALIGN: middle\" border=\"0\" src=\"http://www_php168_com/91files/2016060405/xzispeumehd.gif\"> ⑦
以E\"表示其他方式散失的能量,则由能量守恒得E=Q汽+E残+Q残+E\" ⑧
将④⑤⑥⑦式代入⑧式整理得600)makesmallpic(this,600,1800);\' style=\"VERTICAL-ALIGN: middle\" border=\"0\" src=\"http://www_php168_com/91files/2016060405/ngjprjtux1z.gif\"> ⑨
(2)将题目所给的数据代入⑨式可解得E\"=2.9×1012J


本题解析:


本题难度:一般



5、选择题  实验室有一支读数不准确的温度计,在测冰水混合物的温度时,其读数为20℃;在测一标准大气压下沸水的温度时,其读数为80℃.下面分别是温度计示数为41℃时对应的实际温度和实际温度为60℃时温度计的示数,其中正确的是(   )
A.41℃、60℃
B.21℃、40℃
C.35℃、56℃
D.35℃、36℃


参考答案:C


本题解析:由于实际温度从0℃升高到100℃时温度计的示数从20℃变为80℃,则此温度计读数增加1℃,实际温度升高600)makesmallpic(this,600,1800);\' src=\"http://www_php168_com/91files/2016060314/21osm4k0jrq.gif\" style=\"vertical-align:middle;\">,t示与t实的关系为t实=(t示-20)600)makesmallpic(this,600,1800);\' src=\"http://www_php168_com/91files/2016060314/pxlwjnvkkce.gif\" style=\"vertical-align:middle;\">,所以温度计示数为41℃时对应的实际温度为(41-20)×600)makesmallpic(this,600,1800);\' src=\"http://www_php168_com/91files/2016060314/pxlwjnvkkce.gif\" style=\"vertical-align:middle;\">℃=35℃;由(t-20) 600)makesmallpic(this,600,1800);\' src=\"http://www_php168_com/91files/2016060314/pxlwjnvkkce.gif\" style=\"vertical-align:middle;\">=\"60 \" 得实际温度为60℃时,温度计示数为t=56℃.


本题难度:一般




微信搜索关注"91考试网"公众号,领30元,获取公务员事业编教师考试资料40G
【省市县地区导航】【考试题库导航】
 ★ 高考省级导航 ★ 
全国 A安徽 B北京 C重庆 F福建 G广东 广西 甘肃 贵州 H河南 河北 湖南 湖北 黑龙江 海南 J江苏 江西 吉林 L辽宁 N内蒙古 宁夏 Q青海 S山东 山西 陕西 四川 上海 T天津 X新疆 西藏 Y云南 Z浙江
 ★ 高考信息汇总 ★ 
 ★ 高考历年真题 ★ 
 ★ 高考历年真题 ★ 
 ★ 高考题库 ★ 
 ★ 高考题库 ★ 

电脑版  |  手机版  |  返回顶部