高考物理高频考点《粒子在复合场中运动》高频考点预测(2017年最新版)(七)

时间:2017-03-01 00:23:19

微信搜索关注"91考试网"公众号,领30元,获取事业编教师公务员等考试资料40G

1、计算题  如图所示,离子源A产生的初速度为零、带电荷量均为e、质量不同的正离子被电压为U0的加速度电场加速后匀速通过准直管,垂直射入匀强偏转电场,偏转后通过极板HM上的小孔S离开电场,经过一段匀速直线运动,垂直于边界MN进入磁感应强度为B的匀强磁场。已知HO=d,HS=2d,∠MNQ=90°。(忽略离子所受重力)
(1)求偏转电场场强E0的大小以及HM与MN的夹角Φ;
(2)求质量为m的离子在磁场中做圆周运动的半径;
(3)若质量为4m的离子垂直打在NQ的中点S1处,质量为16 m的离子打在S2处,求S1和S2之间的距离以及能打在NQ上的正离子的质量范围。


参考答案:解:(1)
得E0=U0/d
由tanΦ=得Φ=45°
(2)由
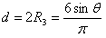
得R=2? (3)将4m和16m代入R,得R1、R2
由Δs=-R1
将R1、R2代入得Δs=4(-1)
由R′2=(2R1)2+(R′-R1)2
得R′=R1
R1<R<R1
得m<mx<25m ?


本题解析:


本题难度:困难



2、计算题  如图所示,在y>0的空间中存在匀强电场,场强沿y轴负方向;在y<0的空间中存在匀强磁场,磁场方向垂直xOy平面(纸面)向外,一电荷量为q、质量为m的带正电的运动粒子,经过y轴上y=h处的点P1时速率为v0,方向沿x轴正方向;然后,经过x轴上x=2h处的P2点进入磁场,并经过y轴上y=-2h处的P3点。不计重力。求:
(1)电场强度的大小;
(2)粒子到达P2时速度的大小和方向;
(3)磁感应强度的大小。


参考答案:解:(1)粒子在电场、磁场中运动的轨迹如图所示,设粒子从P1点到P2点的时间为t,电场强度的大小为 E,粒子在电场中的加速度为a

由牛顿第二定律得qE=ma ①
由运动学公式有2h=v0t ②,?③
由①②③式解得?④
(2)粒子到达P2时速度v沿x轴方向的分量仍为v0,沿y轴方向分量为v1,与x轴的夹角为θ,则有
?⑤,?⑥,?⑦
由①④⑤式得v1=v0 ⑧
由⑥⑦⑧式得
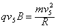
(3)设磁场的磁感应强度为B,在洛伦兹力作用下粒子做匀速圆周运动,由牛顿第二定律及向心力公式得
qvB
r是圆周的半径,此圆周与x轴和y轴的交点分别为P2、P3,因为OP2=OP3、θ=45°,由几何关系可知,连线P2P3为圆周轨道的直径,由此可得
所以


本题解析:


本题难度:困难



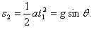
3、计算题  在如图所示的空间里,存在垂直纸面向里的匀强磁场,磁感应强度为。在竖直方向存在交替变化的匀强电场(竖直向上为正),电场大小为。一倾角为θ、长度足够长的光滑绝缘斜面放置在此空间。斜面上有一质量为m,带电量为-q的小球,从t=0时刻由静止开始沿斜面下滑,设第5秒内小球不会离开斜面,重力加速度为g。求:
(1)小球第1秒末的速度;
(2)小球在前2秒内的位移;
(3)第6秒内小球离开斜面的最大距离。


参考答案:解:(1)设第1秒内小球在斜面上运动的加速度为a,由牛顿第二定律得:(mg+qE0)sinθ=ma
第1秒末的速度为:v1=at1
解得v1=2gsin θ
(2)第2秒内:qE0=mg,所以小球将离开斜面在上方做匀速圆周运动,则圆周运动的周期
小球在第2 s末回到第1s末的位置,所以小球前2s内位移为
(3)由题图可知,小球在奇数秒内沿斜面做匀加速运动,在偶数秒内离开斜面做完整的圆周运动
所以,第5秒末的速度为:v5=a(t1+t3+t5)=6gsinθ
,得小球第6 s内做圆周运动的半径为:
小球离开斜面的最大距离为


本题解析:


本题难度:困难



4、简答题  如图a所示,水平直线MN下方有竖直向下的匀强电场,现将重力不计、比荷=106C/kg的负电荷于电场中的O点由静止释放,经过×10-5 s后电荷以v0=1.5×104 m/s的速度通过MN进人其上方的匀强磁场,磁场与纸面垂直,磁感应强度B按图b所示规律周期性变化。图中以垂直纸面向里为正,电荷通过MN时为t=0时刻.

求:(1)匀强电场的电场强度E及O点与直线MN之间的距离;
(2)如果在O点正右方d = 68cm处有一垂直于MN的足够大的挡板,求电荷从O点出发运动到挡板的时间.


参考答案:(1)1.57cm ?(2)?3.86×10-4s


本题解析:(1)电荷在电场中做匀减速直线运动,设其在电场中运动的时间为t,根据动量定理可知,

解得?(2分)
O点与直线MN之间的距离?(2分)
(2)当磁场垂直纸面向里时,
电荷运动的半径?(2分)
周期?(2分)
当磁场垂直纸面向外时,
电荷运动的半径?(2分)
周期?(2分)
根据电荷的运动情况可知,电荷到达挡板前运动的完整周期数为15个,即沿ON运动的距离S=15△d=60cm,最后8cm的距离如图所示,
?(2分)
解得?(2分)
故电荷运动的总时间
T=?( 4分)
?(2分)


本题难度:一般



5、选择题  如图所示,带电平行板中匀强磁场方向水平垂直于纸面向里,某带电小球从光滑绝缘轨道上的a点自由滑下,经过轨道端点P进入板间后恰能沿水平做直线运动。现使小球从较低的b点开始下滑,经P点进入板间,在板间的运动过程中

[? ]
A.其动能将会增大
B.其电势能将会增大
C.小球所受的洛伦兹力将会增大
D.小球受到的电场力将会增大


参考答案:ABC


本题解析:


本题难度:一般




首页 上页 6 7 8 下页 尾页 7/10/10
微信搜索关注"91考试网"公众号,领30元,获取公务员事业编教师考试资料40G
【省市县地区导航】【考试题库导航】
 ★ 高考省级导航 ★ 
全国 A安徽 B北京 C重庆 F福建 G广东 广西 甘肃 贵州 H河南 河北 湖南 湖北 黑龙江 海南 J江苏 江西 吉林 L辽宁 N内蒙古 宁夏 Q青海 S山东 山西 陕西 四川 上海 T天津 X新疆 西藏 Y云南 Z浙江
 ★ 高考信息汇总 ★ 
 ★ 高考历年真题 ★ 
 ★ 高考历年真题 ★ 
 ★ 高考题库 ★ 
 ★ 高考题库 ★ 

电脑版  |  手机版  |  返回顶部