高考物理高频考点《粒子在复合场中运动》高频考点预测(2017年最新版)(三)

时间:2017-03-01 00:23:19

微信搜索关注"91考试网"公众号,领30元,获取事业编教师公务员等考试资料40G

1、计算题  (8分)真空中有一固定的点电荷B,将一带电小球A(可看成质点)从B的正上方距电荷B为L处无初速释放时,小球A的加速度大小为,方向竖直向下。求:当小球A向下运动时,它的加速度多大?球A在向电荷B运动的过程中,与B相距多远时速度最大?


参考答案:
设带电小球A的质量为m,当小球A的加速度大小为时,根据牛顿第二定律得
mg-=m?(1分)?
?(1分)
设当小球A向下运动时,它的加速度为a,根据牛顿第二定律得
mg-=ma?(1分)
?(2分)
设球A在向电荷B运动的过程中,与B相距为r时速度最大,此时重力等于库仑力
? mg=?(2分)
?(1分)


本题解析:略


本题难度:一般



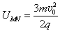
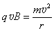
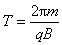
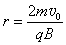
2、计算题  在平面直角坐标系xOy中,第I象限存在沿y轴负方向的匀强电场,第IV象限存在垂直于坐标平面向外的匀强磁场,磁感应强度为B。一质量为m,电荷量为q的带正电的粒子从y轴正半轴上的M点以速度v0垂直于y轴射入电场,经x轴上的N点与x轴正方向成60°角射入磁场,最后从y轴负半轴上的P点垂直于y轴射出磁场,如图所示。不计粒子重力,求:
(1)M、N两点间的电势差UMN;
(2)粒子在磁场中运动的轨道半径r;
(3)粒子从M点运动到P点的总时间t。


参考答案:解:(1)设粒子过N点的速度为v,有,v=2v0
粒子从M点到N点的过程,有
?
(2)粒子在磁场中以O′为圆心做匀速圆周运动,半径为O′N
有:
得:
(3)由几何关系得:ON=rsinθ
设粒子在电场中运动的时间为t1,有ON=v0t1,
粒子在磁场中做匀速圆周运动的周期
设粒子在磁场中运动的时间为t2,有
t=t1+t2
解得:


本题解析:


本题难度:困难



3、计算题  如图所示,Ox、Oy、Oz为相互垂直的坐标轴,Oy轴为竖直方向,整个空间存在竖直向下的匀强磁场,磁感应强度大小为B.现有一质量为m、电量为q的小球从坐标原点O以速度v0沿Ox轴正方向抛出(不计空气阻力,重力加速度为g).求:

(1)若在整个空间加一匀强电场E1,使小球在xOz平面内做匀速圆周运动,求场强E1;
(2)若在整个空间加一匀强电场E2,使小球沿Ox轴做匀速直线运动,求E2的大小;
(3)若在整个空间加一沿y轴正方向的匀强电场E3,使E3=3E1,求该小球从坐标原点O抛出后,经过y轴时的坐标y的表达式.


参考答案:(1)?方向沿y轴正向?(2)?(3)y=?(n=1,2,3……)


本题解析:(1)由于小球在磁场中做匀速圆周运动,设轨道半径为r,则
qE1=mg解得E1=?(4分)
方向沿y轴正向 (1分)
(2)小球做匀速直线运动,受力平衡,则
qE2=?(3分)
解得E2=?(2分)
(3)小球在复合场中做螺旋运动,可以分解成水平面内的匀速圆周运动和沿y轴方向的匀加速运动.
做匀加速运动的加速度a==2g (1分)
从原点O到经过y轴时经历的时间t=nT=?(1分)
y=at2
解得y=?(n=1,2,3……) ?(3分)


本题难度:一般



4、填空题  如图所示,长度为l的绝缘轻杆一端可绕O点在竖直平面内自由转动,另一端固定一个质量为m、带电量为+q的小球,整个装置处于水平向右的匀强电场中,电场强度E=。现将小球从最低点A处由静止释放,则轻杆可以转过的最大角度为_____________。若在轻杆的中点施加一个始终垂直于杆的作用力F,F的大小始终保持为2mg,将小球从图中的B处由静止释放后,作用力F的最大功率Pm=_____________。


参考答案:90°,或0.86mg?(每空2分)


本题解析:因为电场强度E=,杆平衡位置处于与竖直夹角45°的B位置,将小球从最低点A处由静止释放,当电场做功等于重力势能时,轻杆转过的角度最大,此时关于B点对称,则轻杆可以转过的最大角度为90°;


本题难度:简单



5、选择题  目前世界上正在研究的一种新型发电机叫磁流体发电机。如图表示它的发电原理:将一束等离子体(即高温下电离的气体,含有大量带正电和负电的微粒,而从整体上来说呈中性)沿图示方向喷入磁场,磁场中有两块金属板A和B,于是金属板上就会聚集电荷,产生电压。关于图中所示的磁流体发电机,下列判断正确的是

[? ]
A、A板带正电
B、B板带负电
C、电阻R中电流方向向上
D、电阻R中电流方向向下


参考答案:C


本题解析:


本题难度:一般




首页 上页 2 3 4 下页 尾页 3/10/10
微信搜索关注"91考试网"公众号,领30元,获取公务员事业编教师考试资料40G
【省市县地区导航】【考试题库导航】
 ★ 高考省级导航 ★ 
全国 A安徽 B北京 C重庆 F福建 G广东 广西 甘肃 贵州 H河南 河北 湖南 湖北 黑龙江 海南 J江苏 江西 吉林 L辽宁 N内蒙古 宁夏 Q青海 S山东 山西 陕西 四川 上海 T天津 X新疆 西藏 Y云南 Z浙江
 ★ 高考信息汇总 ★ 
 ★ 高考历年真题 ★ 
 ★ 高考历年真题 ★ 
 ★ 高考题库 ★ 
 ★ 高考题库 ★ 

电脑版  |  手机版  |  返回顶部