时间:2017-03-01 00:07:22
1、选择题 把一支枪水平固定在小车上,小车放在光滑的水平面上,枪发射出一颗子弹时,关于枪、弹、车,下列说法正确的是?( )
A.枪和弹组成的系统,动量守恒?
B.枪和车组成的系统,动量守恒?
C.三者组成的系统,因为枪弹和枪筒之间的摩擦力很小,使系统的动量变化很小,可以忽略不计,故系统动量近似守恒?
D.三者组成的系统,动量守恒,因为系统只受重力和地面支持力这两个外力作用,这两个外力的合力为零?
参考答案:A、枪和弹组成的系统,由于小车对枪有外力,枪和弹组成的系统外力之和不为零,所以动量不守恒.故A错误.
B、枪和车组成的系统,由于子弹对枪有作用力,导致枪和车组成的系统外力之和不为零,所以动量不守恒.故B错误.
C、枪、弹、车组成的系统,它们之间相互作用的力为内力,比如枪弹和枪筒之间的摩擦力,系统所受外力之和为零,系统动量守恒.故D正确,C错误.
故选D.
本题解析:
本题难度:一般
2、选择题 下列运动过程中,在任何相等的时间内,物体动量变化相等的是( )
A.自由落体运动
B.平抛运动?
C.匀速圆周运动
D.匀减速直线运动?
参考答案:A、自由落体运动只受重力,故任意相等的时间内物体受到的重力冲量相等,故由动量定理可得动量变化相等,故A正确;
B、平抛运动只受重力,故任意相等的时间内物体受到的重力冲量相等,故由动量定理可得动量变化相等,故B正确;
C、匀速圆周运动受到指向圆心的变力,故物体的冲量时刻变化,故动量变化不相等,故C错误;
D、匀减速直线运动受到恒力作用,故任何相等的时间内,物体受到的冲量相等,故动量变化相等,故D正确;
故选:ABD.
本题解析:
本题难度:一般
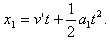
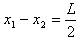
3、计算题 如图所示,长为L的木板A静止 在光滑的水平桌面上,A的左端放有小物体B(可视为质点),一端连在B上的细绳,绕过固定在桌子边沿的定滑轮后,另一端连在小物体C上,设法用外力使A、B静止,此时C被悬挂着。A的右端距离滑轮足够远,C距离地面足够高。已知A的质量为6m,B的质量为3m,C的质量为m。现将C物体竖直提高2L,同时撤去固定A、B的外力。再将C无初速度释放,当细绳被拉直时B、C速度的大小立即变成相等,由于细绳被拉直的时间极短,此过程中重力和摩擦力的作用可以忽略不计,细绳不可伸长,且能承受足够大的拉力。最后发现B在A上相对A滑行的最大距离为
。细绳始终在滑轮上,不计滑轮与细绳之间的摩擦,计算中可认为A、B之间的最大静摩擦力等于滑动摩擦力,取重力加速度g=10 m/s2。
(1)求细绳被拉直前瞬间C物体速度的大小v0;
(2)求细绳被拉直后瞬间B、C速度的大小v;
(3)在题目所述情景中,只改变C物体的质量,可以使B从A上滑下来。设C的质量为km,求k至少为多大? 
参考答案:解:(1)C做自由落体运动,下降高度为2L时的速度为v0
根据
,得
(2)细绳被拉直后瞬间B、C速度的大小立即变成v,设细绳对B、C的冲量大小为I,根据动量定理得
对B:I=3mv,
对C:-I=mv-mv0
解得B、C速度的大小
(3)设C物体的质量为km,A、B之间的动摩擦因数为μ
由(2)可知,细绳被拉直时B、C速度的大小
此后B物体的加速度
A物体的加速度
经时间t,B物体的速度v1=v"+a1t,B物体的位移
同样,A物体的速度v2=a2t,A物体的位移
①根据题意,若k=1,当v1=v2时,
,解得μ=0.4
②要使v1=v2时,x1-x2=L,利用①求得的动摩擦因数μ,可得k=
,即C物体的质量至少为1.29m时,才可以使B物体A上滑下来
本题解析:
本题难度:困难
4、选择题 在距地面某一高度,同时以相等速率分别平抛,竖直上抛,竖直下抛质量相等的物体m,当它们从抛出到落地前瞬时,不计空气阻力,比较它们的动量的增量△p,有( )
A.平抛过程较大
B.竖直上抛过程较大
C.竖直下抛过程较大
D.三者一样大
参考答案:三个小球中竖直上抛的物体运动时间最长,而竖直下抛的物体运动时间最短,故它们重力的冲量,竖直上抛的物体最大,则由动量定理I=△P可得,竖直上抛的物体动量的增量最大,故B正确;
故选B.
本题解析:
本题难度:一般
5、选择题 有两个物体a和b,其质量分别为ma和mb,且ma>mb,它们的初动能相同,若a和b分别受不变的阻力Fa和Fb的作用,经过相同的时间停下来,它们的位移分别是sa和sb,则
A.Fa>Fb且sa<sb
B.Fa>Fb且sa>sb
C.Fa<Fb且sa<sb
D.Fa<Fb且sa>sb
参考答案:A
本题解析:
本题难度:困难