时间:2017-02-28 23:19:51
1、选择题 如图所示,光滑水平面上,质量为m的小球A和质量为
m的小球B通过轻质弹簧相连并处于静止状态,弹簧处于自由伸长状态;质量为m的小球C以初速度v0沿AB连线向右匀速运动,并与小球A发生弹性正碰。在小球B的右侧某位置固定一块弹性挡板(图中未画出),当小球B与挡板发生正碰后立刻将挡板撤走,不计所有碰撞过程中的机械能损失,弹簧始终处于弹性限度以内,小球B与固定挡板的碰撞时间极短,碰后小球B的速度大小不变,但方向相反,则B与挡板碰后弹簧弹性势能的最大值Em可能是 
[? ]
A.
B.
C.
D.
参考答案:BC
本题解析:
本题难度:一般
2、简答题 质量为m1="10" g的小球,在光滑水平桌面上以v1="30" m/s的速率向右运动,恰好遇上质量为m2="50" g,速度v2="10" m/s向左运动的另一小球并发生正碰,如图16-4-5所示,碰撞后小球m2恰好停止运动,求碰撞后小球m1的速度是多大?
图16-4-5
参考答案:20 m/s
本题解析:设v1的方向为正方向,则碰撞前m1的速度v1="30" m/s,m2的速度v2="-10" m/s,碰撞后m2速度为v2′=0,由动量守恒定律有m1v1+m2v2=m1v1′+m2v2′
v1′=
m/s="-20" m/s
其中负号表示速度方向与方向相反,即向左.
本题难度:简单
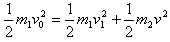
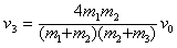
3、计算题 光滑水平面上排列着三个等大的球心共线的弹性小球1,2,3,质量分别为m1,m2,m3。现给1号球一个水平速度v0,于是,1号球与2号球、2号球与3号球依次发生碰撞,碰撞过程无机械能损失(即完全弹性碰撞)。
(1)求最终三个球的速度大小。(每两个球只发生一次碰撞)
(2)若1,3号球质量m1,m3已知,2号球质量m2多大,3号球碰后速度最大。
参考答案:解:(1)设m1,m2,m3最后的速度分别为v1,v2,v3,m1与m2相碰后,m2的速度为v
m1v0=m1v1+m2v
相碰过程中无机械能损失
解得
,
同理,m2与m3相碰,解得
,
(2)由(1)结果得
当
时,v3最大值
解得
本题解析:
本题难度:困难
4、填空题 如图所示,一个运动的中子与一个静止的中子发生弹性碰撞,碰撞过程中动量______________(“一定”、“可能”或“一定不”)守恒,碰撞后A中子______________(“静止”“向右运动”或“向左运动”)。 
参考答案:一定,静止
本题解析:
本题难度:一般
5、计算题 如图所示,在粗糙水平桌面上沿一条直线放两个完全相同的小物体A和B(可看做质点),质量均为m,相距l,B到桌边缘的距离是2l。对A施以瞬时水平冲量,使A沿A、B连线以初速度v0向B运动。设两物体碰撞时间很短,碰后不再分离。为使两物体能发生碰撞,且碰撞后又不会离开桌面,求物体A、B与水平面间的动摩擦因数μ应满足的条件。
参考答案:解:对A由动能定理得:
v1=0,解得μ的最大值:
A与B碰撞,动量守恒,以v0方向为正方向,有:mv1=2mv2
A与B滑行过程:
解得μ的最小值:
所以μ的取值范围为:
本题解析:
本题难度:一般