高中物理高考知识点《粒子在复合场中运动》在线测试(2017年最新版)(九)

时间:2017-02-28 23:14:52

微信搜索关注"91考试网"公众号,领30元,获取事业编教师公务员等考试资料40G

1、计算题  如图甲所示,两平行金属板接有如图乙所示随时间t变化的电压U,两板间电场可看作均匀的,且两板外无电场,板长L=0.2m,板间距离d=0.2m。在金属板右侧有一边界为MN的区域足够大的匀强磁场,MN与两板中线OO′垂直,磁感应强度T,方向垂直纸面向里。现有带正电的粒子流沿两板中线OO′连续射入电场中,已知每个粒子速度m/s,比荷q/m=108C/kg,重力忽略不计,在每个粒子通过电场区域的极短时间内,电场可视作是恒定不变的。
(1)试求带电粒子射出电场时的最大速度;
(2)证明任间时刻从电场射出的带电粒子,进入磁场时在MN上的入射点和在MN上出射点的距离为定值,写出该距离的表达式;
(3)从电场射出的带电粒子,进入磁场运动一段时间后又射出磁场,求粒子在磁场中运动最长时间和最短时间。


参考答案:解:(1)偏转电压由0到220V的变化中,粒子流可能都能射出电场,也可能只有部分粒子能射出电场
设偏转电压力为u0时,粒子刚好能经过极板右边缘射出
,得
说明偏转电压力为100V时,粒子恰好能射出电场,且速度最大
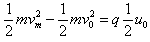
据动能定理得:
?
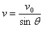
(2)设粒子射出电场速度方向与MN间夹角为θ,粒子射出电场时速度大小为

因此粒子射进磁场点与射出磁场点间距离为
由此可看出,距离s与粒子在磁场中运行速度大小无关,s为定值
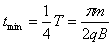
(3)由(1)中结论可知,若粒子射出磁场的竖直分速度越大则θ越小,故θ最小值为,此情景下圆弧对应圆心角为270°,入粒子在磁场中运行最长时间为

同理:粒子由右上方射入磁场时且速度方向与MN间夹角为45°时,在磁场中运行时间最短


本题解析:


本题难度:困难



2、简答题  如图,在某个空间内有一个水平方向的匀强电场,电场强度,又有一个与电场垂直的水平方向匀强磁场,磁感强度B=10T。现有一个质量m=2×10-6kg、带电量q=2×10-6C的微粒,在这个电场和磁场叠加的空间作匀速直线运动。假如在这个微粒经过某条电场线时突然撤去磁场,那么,当它再次经过同一条电场线时,微粒在电场线方向上移过了多大距离。(g取10m/S2)


参考答案:1.39m


本题解析:题中带电微粒在叠加场中作匀速直线运动,意味着微粒受到的重力、电场力和磁场力平衡。进一步的分析可知:洛仑兹力f与重力、电场力的合力F等值反向,微粒运动速度V与f垂直,如图2。当撤去磁场后,带电微粒作匀变速曲线运动,可将此曲线运动分解为水平方向和竖直方向两个匀变速直线运动来处理,如图3。由图2可知:


又:
  解之得:
  由图3可知,微粒回到同一条电场线的时间
则微粒在电场线方向移过距离
本题的关键有两点:
(1)根据平衡条件结合各力特点画出三力关系;(2)将匀变速曲线运动分解


本题难度:简单



3、简答题  如图所示,一根绝缘杆沿竖直方向放置,杆上有一个带负电的圆环,它的质量为m、电量为q,与杆间的动摩擦因数为μ.所在的空间存在着方向都是水平向右的匀强电场与匀强磁场,电场强度大小为E、磁感强度大小为B.现将圆环从静止开始释放,环将沿杆下落,求圆环运动过程中的最大加速度与最大速度.


参考答案:,?


本题解析:

圆环在下落过程中,水平方向受电场力和磁场力,电磁力方向向左,磁场力方向向纸里,如图所示.杆的支持力N与它们二者平衡.其中F电是恒力,而F磁是变力,其大小与速度有关.刚开始运动时,速度为0,F磁=0,N最小,从而摩擦力f最小,具有最大的加速度.由牛顿第二定律,有解得
当mg=f时,圆环不再加速,速度达到最大,此时f=μN=
解得


本题难度:一般



4、计算题  (18分)如图所示,xOy平面为一光滑水平面,在此区域内有平行于xOy平面的匀强电场,场强大小E="100" V/m;同时有垂直于xOy平面的匀强磁场。一质量m=2×10 6 kg、电荷量q=2×10 7 C的带负电粒子从坐标原点O以一定的初动能入射,在电场和磁场的作用下发生偏转,到达p (4,3)点时,动能变为初动能的0.5倍,速度方向垂直OP向上。此时撤去磁场,经过一段时间该粒子经过y轴上的M(0, 6.25)点,动能变为初动能的0.625倍,求:

(1)粒子从O到P与从P到M的过程中电场力做功的大小之比;
(2)OP连线上与M点等电势的点的坐标;
(3)粒子由P点运动到M点所需的时间。


参考答案:(1)4:1;(2)(3 m,2.25 m);(3)0.5s


本题解析:(1)设粒子在P点时的动能为Ek,则初动能为2Ek,在M点的动能为1.25Ek。
由于洛伦兹力不做功,粒子从O点到P点和从P点到M点的过程中,电场力做的功大小分别为W1、W2   由动能定理得: W1= Ek 2Ek                                    (1分)
W2  = 1.25Ek Ek                                 (1分)
则                          (2分)
(2)O点和P点及M点的电势差分别为:
                  (2分)
设OP连线上与M点电势相等的点为D,由几何关系得OP的长度为5m,
沿OP方向电势下降。则:    (2分)
得OD="3.75m" ,OP与X轴的夹角则:
D点的坐标为x D="ODcosα=3" m,   YD ="ODsinα=2.25m"
即:D (3 m,2.25 m)              (3分)

由于OD="3.75" m 而OMcos="3.75" m 所以MD垂直于OP,
由于MD为等势线,因此OP为电场线 ,方向从O到P (3分)
带电粒子从P到M过程中做类平抛运动,设运动时间为t
则DP=         (2分)
又,DP="OP" OD=1.25m
解得:      (2分)

考点:带电粒子在电场中的运动


本题难度:困难



5、选择题  如图所示,带电平行金属板相互正对水平放置,两板间存在着水平方向的匀强磁场.带电液滴a沿垂直于电场和磁场的方向进入板间后恰好沿水平方向做直线运动,在它正前方有一个静止在绝缘小支架上不带电的液滴b,带电液滴a与液滴b发生正碰,在极短的时间内复合在一起形成带电液滴c.若不计支架对液滴c沿水平方向的作用力,则液滴c离开支架后(? )

A.一定做曲线运动
B.可能做匀速圆周运动
C.可能做直线运动
D.电场力对其做正功


参考答案:A


本题解析:液滴a在电?磁场中做匀速运动,有mag=Bqva+qE,与液滴b复合过程中动量守恒:mava=(mb+ma)v,刚碰后c受到的向上的作用力qE+Bqv<qE+Bqva=mag<(ma+mb)g,故此液滴要做曲线运动,电场力做负功,A对,C?D错.在匀强复合场中带点质点做匀速圆周运动时要求恒力的合力为零,洛伦兹力提供向心力,故B错误.


本题难度:一般




首页 上页 8 9 10 下页 尾页 9/10/10
微信搜索关注"91考试网"公众号,领30元,获取公务员事业编教师考试资料40G
【省市县地区导航】【考试题库导航】
 ★ 高考省级导航 ★ 
全国 A安徽 B北京 C重庆 F福建 G广东 广西 甘肃 贵州 H河南 河北 湖南 湖北 黑龙江 海南 J江苏 江西 吉林 L辽宁 N内蒙古 宁夏 Q青海 S山东 山西 陕西 四川 上海 T天津 X新疆 西藏 Y云南 Z浙江
 ★ 高考信息汇总 ★ 
 ★ 高考历年真题 ★ 
 ★ 高考历年真题 ★ 
 ★ 高考题库 ★ 
 ★ 高考题库 ★ 

电脑版  |  手机版  |  返回顶部