时间:2017-02-28 23:14:12
1、计算题 如图(a)所示,在光滑绝缘水平面的AB区域内存在水平向右的电场,电场强度E随时间的变化如图(b)所示。不带电的绝缘小球P2静止在O点,t=0时,带正电的小球P1以速度v0从A点进入AB区域,随后与P2发生正碰后反弹,反弹速度大小是碰前的
陪,P1的质量为m1,带电量为q,P2的质量m2=5m1,A、O间距为L0,O、B间距
,已知
。
(1)求碰撞后小球P1向左运动的最大距离及所需时间;
(2)讨论两球能否在OB区间内再次发生碰撞。

参考答案:解:(1)小球P1到达O点的时间
,与P2碰撞时,电场刚好由零变为E0
碰撞后,P1的速度
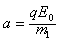
在电场中,P1的加速度是
P1向左运动的时间
在t1时间内,有电场,P1做匀减速运动
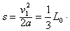
P1向左运动的最大距离
(2)根据动量守恒定律m1v0=m1v1+m2v2
求得P2的速度
P0从O点运动到B点所需时间
在t2时间内,一直存在电场,则P1的位移
由于x1>L,故在OB之间P1与P2能再次碰撞
本题解析:
本题难度:困难
2、选择题 如图所示,两水平放置的平行金属板间有一竖直方向的匀强电场。质量相同的两个带电粒子(重力不计)P、Q沿垂直于电场线方向射入电场中,P从两极板正中央射入,Q从下极板边缘处射入,它们最后打在同一点,在电场中形成两条轨迹1和2。那么,下列关于它们的初速度Vp和vQ、电势能改变量△Ep和△EQ、电荷量qP和qQ以及它们在电场中运动的时间tp和tQ之间的关系的说法中,正确的是

[? ]
参考答案:D
本题解析:
本题难度:一般
3、计算题 (10分)从粒子源射出的带电粒子的质量为m、电荷量为q,它以速度v0经过电势差为U的带窄缝的平行板电极S1和S2间的电场,并从O点沿Ox方向进入磁感应强度为B、方向垂直纸面向外的有界匀强磁场,Ox垂直平行板电极S2,当粒子从P点离开磁场时,其速度方向与Ox方向的夹角θ=60°,如图8-2-20所示,整个装置处于真空中.
(1)求粒子在磁场中沿圆弧运动的轨道半径R;
(2)求粒子在磁场中运动所用的时间t.
参考答案:(1)
(2)
本题解析:(1)粒子进入平行板中的匀强电场,则电场力对其加速,利用动能定理则:
所以出电场的末速度为
根据洛伦兹力提供向心力有
,即
,带入则
(2) 
根据粒子在磁场中的运动轨迹可知,在磁场中轨迹的圆心角为60°。即
点评:此类题型属于比较常规型的带电粒子在电场或者磁场中的运动问题。根据动能定理可以求出在电场中加速后的末速度。通过左手定则定圆心,画轨迹,从而根据几何知识判断出半径。
本题难度:简单
4、简答题 
(2)电子打到荧光屏上的位置P偏离荧光屏中心O的距离OP;
(3)若撤去M、N间的电压U2,而在两平行板中的圆形区域内(如图b所示)加一磁感应强度为B=0.001T的匀强磁场,圆形区域的中心正好就是两平行板空间部分的中心,要使电子通过磁场后仍打在荧光屏上的P点处,圆形区域的半径r为多少?(结果中可含有反三角函数)
参考答案:(1)
(2)7cm(3)1.14cm
本题解析:(1)
? ∴
? (6分)
(2)
? (6分)
(3)∵
? ∴
(2分)
? (6分)
本题难度:一般
5、选择题 如图所示,静止的电子在加速电压为U1的电场作用下从O经P板的小孔射出,又垂直进入平行金属板间的偏转电场(极板长L、极板间距离d),在偏转电压为U2的电场作用下偏转一段距离。现使U1加倍,要想使电子在偏转电场的偏移量不发生变化(调整极板间距离时电子仍能穿出偏转电场),应该:(?)
A.仅使U2加倍
B.仅使U2变为原来的4倍
C.仅使偏转电场板间距离变为原来的0.5倍
D.仅使偏转电场板间距离变为原来的2倍
参考答案:AC
本题解析:据题意,带电粒子在加速电场中做加速运动,有:
,在偏转电场中做类平抛运动,有:
和
,整理得:
,因此当加速电场电压U1增加一倍,要使偏转量不变,则需要使偏转电压增加一倍或者使偏转电场两极板距离变为原来的一半,故A、C选项正确。
本题难度:一般