时间:2017-02-28 23:11:33
1、实验题 如图甲所示,用包有白纸的质量为m(kg)的圆柱棒代替纸带和重物,蘸有颜料的毛笔固定在电动机上并随之转动,代替打点计时器.当烧断悬挂圆柱棒的线后,圆柱棒竖直自由下落,毛笔转动就在圆柱棒表面的纸上画出记号,如图乙所示,设毛笔接触棒时不影响棒的运动.测得记号之间的距离依次为20.0 mm,44.0 mm,68.0 mm,92.0 mm,116.0 mm,140.0 mm,已知电动机每秒钟转20圈,由此研究圆柱棒的运动情况.根据以上内容,回答下列问题:
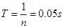
(1)毛笔画相邻两条线的时间间隔T=________s,图乙中的________端是圆柱棒的悬挂端(填“左”或“右”).
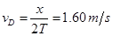
(2)根据图乙所给的数据,可知毛笔画下记号D时,圆柱棒下落的速度vD=________m/s;圆柱棒竖直下落的加速度a=?m/s2.(结果保留三位有效数字)
参考答案:(1)0.05s?左?(2)
? 9.60 m/s2
本题解析:(1)电动机的转速n=20r/s,所以周期
,圆柱棒竖直自由下落,速度越来越大,因此毛笔所画出的记号之间的距离越来越大,因此左端的记号后画上,所以左端是悬挂端.
(2)匀变速直线运动的中间时刻的瞬时速度等于这一段的平均速度
;根据
可求加速度为9.60 m/s2
本题难度:一般
2、实验题 张明同学做“用单摆测重力加速度”的实验,
(1)测摆长时,若正确测出悬线长l和摆球直径d,则摆长为?
(2)测周期时,当摆球经过平衡位置时开始计时并计数为1次,测出经过该位置N次的时间为t,则周期为?
(3)他实验测得的g值偏小,可能的原因是?
A.测摆线长时摆线拉得过紧
B.摆线上端未牢固地系于悬点,振动中出现 了松动,使摆线长度增加了
C.开始计时时,秒表提前按下
D.实验中误将49次全振动数为50次
参考答案:(1)??l+d/2??(2)??2t/(N-1)??(3)? BC?
本题解析:(1)摆长为悬点到球心间的距离(2)周期为2t/(N-1)(3)由公式
,由此可知选择BC
点评:本题难度较小,难点在于误差分析,一定要搞清楚哪个是实验值哪个是真实值
本题难度:简单
3、选择题
如图所示,一木块在光滑水平面上受一恒力作用而运动,前方固定一个弹簧,当木块接触弹簧后
A.立即做减速运动
B.当弹力大小等于恒力F时,木块的速度为最大值
C.在一段时间内仍然做加速运动,速度继续增大
D.当弹簧压缩量最大时,木块的加速度不为零
参考答案:BCD
本题解析:分析:木块接触弹簧后,水平方向受到恒力F和弹簧的弹力,根据弹力与F的大小关系,确定合力方向与速度方向的关系,判断木块的运动情况.
解答:当木块接触弹簧后,水平方向受到向右的恒力F和弹簧水平向左的弹力.弹簧的弹力先小于恒力F,后大于恒力F,木块所受的合力方向先向右后向左,则木块先做加速运动,后做减速运动,当弹力大小等于恒力F时,木块的速度为最大值.当弹簧压缩量最大时,弹力大于恒力F,合力向左,加速度大于零.
故选BCD
点评:本题考查分析物体受力情况和运动情况的能力,要抓住弹簧弹力的可变性进行动态分析.
本题难度:困难
4、计算题 (1)在“探究恒力做功与动能改变的关系”实验中,某实验小组采用如图甲所示的装置.实验步骤如下:
1把纸带的一端固定在小车的后面,另一端穿过打点计时器
2改变木板的倾角,以重力的一个分力平衡小车及纸带受到的摩擦力
3用细线将木板上的小车通过一个定滑轮与悬吊的砂桶相连
4接通电源,放开小车,让小车拖着纸带运动,打点计时器就在纸带上打下一系列的点
5测出s、s1、s2(如图乙所示),查得打点周期为T.
判断重力的一个分力是否已与小车及纸带受到的摩擦力平衡的直接证据是_______________________________________;
本实验还需直接测量的物理量是:___________________________.(并用相应的符号表示)
探究结果的表达式是______________________________________.(用相应的符号表示)
| 次数 | 小车质量 M/g | 加速度 a/m·s-2 | ![]() |
| 1 | 200 | 1.91 | 5.00 |
| 2 | 250 | 1.71 | 4.00 |
| 3 | 300 | 1.50 | 3.33 |
| 4 | 350 | 1.36 | 2.86 |
| 5 | 400 | 1.12 | 2.50 |
| 6 | 450 | 1.00 | 2.22 |
| 7 | 500 | 0.90 | 2.00 |
参考答案:(1)纸带上点迹间距相等? ;?小车的质量M、砂桶的质量m
?
(2)图象略? ;?作为外力的砂桶质量太大
本题解析:本题考查《探究恒力做功与动能改变的关系》与《探究加速度与力、质量的关系》实验的迁移能力、误差分析能力、文字表述能力及从图表归纳所需信息能力。考查逻辑推理能力、运用数学知识解决物理问题能力和实验探究能力。
(1)纸带上点迹间距相等? ;?小车的质量M、砂桶的质量m
?
(2)图象略? ;?作为外力的砂桶质量太大
本题难度:一般
5、选择题 如图所示,斜面体A放置在水平面上,物块P被平行于斜面的弹簧拴着放置在斜面上,弹簧的另一端固定在挡板B上,系统静止时,( )
A.斜面体A受到水平面对它的摩擦力作用
B.地面对斜面体A的作用力一定竖直向上
C.物块P一定受到斜面体A对它的摩擦力作用
D.斜面体A对物块P的作用力一定竖直向上
参考答案:A、B当物体P和斜面体看成一整体时,由平衡条件得:地面对斜面体的作用力一定竖直向上,地面对斜面体没有摩擦力.故A错误,B正确
C、当物块P所受弹簧的拉力等于物块的重力沿斜面向下的分力时,此时刚好不受摩擦力.故C错误.
D、当物块P与斜面体没有摩擦力时,斜面体对物块P的作用力就是支持力,而支持力垂直于斜面向上.故D错误.
故选B
本题解析:
本题难度:一般