时间:2022-12-15 06:16:51
1、选择题 物理学是一门以实验为基础的科学,任何学说和理论的建立都离不开实验.下面给出了几个在物理学发展史上有重要地位的物理实验,以及与之相关的物理学发展史实的说法,其中错误的是( )
A.光的偏振现象说明光是横波
B.光电效应实验表明光具有粒子性
C.天然放射现象的发现证实了玻尔原子理论是正确的
D.电子的发现揭示了原子不是构成物质的最小微粒
参考答案:C
本题解析:
本题难度:一般
2、填空题 下列说法中正确的是(? )
A.电子具有波动性,属于一种概率波
B.电磁波以机械振动的形式传播
C.光的偏振现象表明光是一种横波
D.超声波可以在真空中传播
参考答案:AC
本题解析:关于波的基本概念.
本题难度:简单
3、计算题 两个狭缝相距0.3 mm,位于离屏50 cm处,现用波长为6000
的光照射双缝,求:
(1)两条相邻暗条纹间的距离是多少?
(2)若将整个装置放于水中,那么两条相邻暗条纹间的距离是多少?(水的折射率
为
,1
=10-10 m)
参考答案:(1)1 mm (2)0.75 mm
本题解析:本题要求用公式Δx=
λ进行计算.
(1)Δx=
λ=
?m
=1×10-3 m=1 mm
(2)λ′=
=
?
=4500 
Δx′=
λ′=
?m=0.75 mm.
本题难度:简单
4、简答题
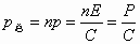
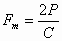
根据量子理论,光子具有动量,光子的动量等于光子的能量除以光速,即p=E/C,光照射到物体表面并被反射时,会对物体产生压强,这就是“光压”.光压是光的粒子性的典型表现.光压的产生机理如同气体压强:由大量的气体分子与器壁的频繁碰撞产生了持续均匀的压力,器壁在单位面积上受到的压力就是气体的压强.
①激光器发出的一束激光的功率为P,光束的横截面积为S.当该激光垂直照射在物体表面时,试计算单位时间内到达物体表面的光子的总动量.
②若该激光束被物体表面完全反射,证明其在物体表面引起的光压是2P/CS.
③设想利用太阳的光压将物体送到太阳系以外的空间去,当然只有当太阳对物体的光压超过了太阳对物体的引力才行.现如果用一种密度为1.0×103kg/m3的物体做成的平板,它的刚性足够大,则当这种平板厚度较小时,它将能被太阳的光压送出太阳系.试估算这种平板车的厚度应小于多少?设平板处于地球绕太阳运动的公转轨道上,且平板表面所受的光压处于最大值,不考虑太阳系内其它各行星对平板的影响,已知地球公转轨道上的太阳能量为1.4×103J/m2·s(即在单位时间内垂直辐射在单位面积上的太阳光能量),地球绕太阳公转的加速度为5.9×10-3m/s2.
参考答案:
(1)
?(2)
?(3)1.6×10-6m
本题解析:
①设单位时间内激光器发出的光子数为n,每个光子的能量为E,动量为p,则激光器的功率为P=nE.所以,单位时间内到达物体表面的光子总动量为
②激光束被物体表面完全反射,其单位时间内的动量改变量为
根据动量定理,激光束对物体表面的作用力为
因此,激光束在物体表面产生的光压为
③设平板的质量为m,密度为ρ,厚度为d,面积为S1;太阳常量为J;地球绕太阳公转的加速度为a,利用太阳的光压将平板送到太阳系以外的空间去,必须满足条件:太阳光对平板的压力大于太阳对其的引力,结合(2)的结论,有
>ma,
而平板的质量m=ρdS1,所以d<2J/ cρa=1.6×10-6m.
因此,平板的厚度应小于1.6×10-6m.
本题难度:简单
5、计算题 物理——选修3-4(15分)
(1)(5分)下列说法正确的是?
A.波的图象表示介质中“某个质点”在“各个时刻”的位移
B.当波源与观察者相互远离时,观察到的频率变小
C.光的偏振现象说明光是纵波
D.均匀变化的磁场产生均匀变化的电场,均匀变化的电场产生均匀变化的磁场
E.狭义相对论认为,在不同的惯性参考系中,一切物理规律都是相同的,真空中的光速
都是相同的。
(2)(10分)高速公路上的标志牌都用“回归反射膜”制成,夜间行车时,它能把车灯射出的光逆向返回。这种“回归反射膜”是用球体反射元件制成的。如图所示,透明介质球的球心位于O点,半径为R,光线DC平行于直径AOB射到介质球的C点,DC与AB的距离H=R.DC光线进入介质球折射后,经一次反射,再折射后射出的光线与入射光线平行,作出光路图,并算出介质球的折射率.
参考答案:[物理——选修3-4](15分)
(1)B E (5分)
(2)(10分)光路如图10-10乙所示
光线经反射后到达介质与空气的界面时,由几何关系和折射定律得
i′=r?r′=i?①
折射光线PQ与入射光线DC平行
则:∠POA=∠COA=i??sin i==? ∴?i=60° ②
由图可知,折射角
r==30°? ∴? sin r=? ③
折射率n==? ④
评分标准:本题10分,光路图3分,①1分,②③④各2分
本题解析:略
本题难度:一般