时间:2020-08-16 00:02:52
1、实验题 (本题12分)在“测定金属电阻率”的实验中,某同学进行了如下测量:
(1)用刻度尺测量被测电阻丝的有效长度,如图所示,金属丝的另一端与刻度尺的零刻度对齐,读数为 cm。用螺旋测微器测金属丝直径,结果如图所示,读数为 mm。
(2)电压表、电流表读数如右图,则U= ,I= 。

(3)根据电路图给实物图连线

2、实验题 正确读出下列测量结果:螺旋测微器的读数为 ( ) mm;游标卡尺的读数为( ) cm 。
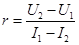
3、实验题 图为某同学根据测定一节干电池的电动势和内电阻的实验数据绘制成的U-I图,由此可得干电池的电动势E =__________V,内阻r = Ω.(结果保留2位有效数字)
4、选择题 有一横截面积为S的铜导线,流径其中的电流强度为I,设每单位体积的导线中有n个自由电子,电子的电量为e,此时电子的定向移动速度为v,在△t时间内,通过导线的横截面积的自由电子数目可表示为
A.nv△t ;
B.I△t/e ;
C.nvs/△t;
D.I△t/se 。
5、选择题 如图所示,带正电的物块A放在足够长的不带电小车B上,两者均保持静止,处在垂直纸面向里的匀强磁场中,在t=0时用水平恒力F向右拉小车B,t=t1时A相对B开始滑动,t=t2以后B作匀加速直线运动,已知地面光滑、AB间粗糙,A带电荷量保持不变,则关于A、B的
图象,下图大致正确的是( )

A B C D