高中物理高考知识点《分子动能、分子势能、内能》试题特训(2020年最新版)(五)

时间:2020-08-15 23:57:19

微信搜索关注"91考试网"公众号,领30元,获取事业编教师公务员等考试资料40G

1、选择题  如图,物体B经一轻质弹簧与下方地面上的物体A相连,A、B都处于静止状态.用力把B往下压到某一位置,释放后,它恰好能使A离开地面但不继续上升.如果仅改变A或B的质量,再用力把B往下压到同一位置后释放,要使A能离开地面,下列做法可行的是(  )
A.仅增加B的质量
B.仅减小B的质量
C.仅增加A的质量
D.仅减小A的质量
91考试网


参考答案:BD


本题解析:


本题难度:简单



2、选择题  下列说法中正确的有?(?)
A.第二类永动机和第一类永动机一样,都违背了能量守恒定律
B.热机的效率从原理上讲可达100%
C.因为能量守恒,所以“能源危机”是不可能的
D.自然界中的能量尽管是守恒的,但有的能量便于利用,有的不便于利用,故要节约能源


参考答案:D


本题解析:第二类永动机并不违反能量守恒,A错误;热机在工作过程中必然排出部分热量,热机用于做功的热量一定小于它从高温热库吸收的热量,因而热机的效率不可能达100%,B错误;根据热力学第二定律在,虽然能量不会减小但能源会越来越少,所以要节约能源,C错误、D正确。


本题难度:简单



3、选择题  下列说法中正确的是?.(填入正确选项前的字母)
A.液体中悬浮微粒的布朗运动就是液体分子的无规则热运动
B.物体的温度越高,分子热运动越剧烈,分子的平均动能就越大
C.密封在体积不变的容器中的气体,温度升高,气体分子对器壁单位面积上的平均作用力增大
D.根据热力学第二定律可知,热量能够从高温物体传到低温物体,但不能从低温物体传到高温物体


参考答案:BC


本题解析:液体中悬浮微粒的布朗运动就是液体分子撞击微粒,微粒的无规则运动;A错;
分子的热运动只与温度有关,所以温度越高,分子运动越剧烈,平均动能越大,B对;
由理想气体状态方程:="K," 体积不变,温度升高,压强增大,F=PS所以单位面积上的平均作用力增大,C对;
一切与热现象有关的过程都具有方向性,热量能够自发的从高温物体传到低温物体,不能自发的从低温物体传到高温物体,但是有外力帮助时可以由低温物体传到高温物体;D错。


本题难度:简单



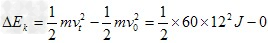
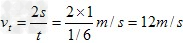
4、计算题  人们工作、学习和劳动都需要能量,食物在人体内经消化过程转化为葡萄糖,葡萄糖在体内又转化为CO2和H2O,同时释放的能量E=2.80×106J·mol-1.一个质量为60kg的短跑运动员起跑时以s的时间冲出m远,他在这一瞬间消耗体内储存的葡萄糖多少克?


参考答案:解:由题意可知,运动员在起跑的s时间内是做变加速运动,
由于时间很短,为解决问题方便,
我们可以认为在这s时间内运动员做初速度为零的匀加速直线运动.
可知,
运动员冲出1m的末速度为

运动员在s中增加的动能为
=4320J
消耗葡萄糖的质量为


本题解析:


本题难度:一般



5、选择题  下列说法中正确的是
A.对于一定质量的理想气体,当温度升高时,分子的平均动能增大,则气体的压强一定增大
B.对于一定质量的理想气体,当体积减小时,单位体积的分子数增多,则气体的压强
一定增大
C.压缩一定质量的理想气体,其内能一定增加
D.分子a从很远处趋近固定不动的分子b,当分子a运动到与分子b的相互作用力为
零时,分子a的动能一定最大


参考答案:D


本题解析:考点:
分析:根据气体状态方程和已知的变化量去判断其它的物理量.
温度是分子平均动能变化的标志
对活塞进行受力分析,运用平衡知识解决问题.
解答:解:(1)A、对于一定质量的理想气体,当温度升高时,分子的平均动能增大,由于体积变化不清楚所以无法确定气体的压强变化.故A错误.
B、对于一定质量的理想气体,当体积减小时,单位体积的分子数增多,由于温度变化不清楚所以无法确定气体的压强变化.故B错误.
C、压缩一定质量的理想气体,根据热力学第一定律的表达式△U=Q+W知道W>0,但是Q的变化变化不清楚,所以其内能
变化无法确定.故C错误.
D、分子a从很远处趋近固定不动的分子b,当分子a运动到与分子b的相互作用力为零时,在这过程中表现为引力,引力做正功,动能增大,过了这位置引力要做负功.所以在这位置分子a的动能一定最大.故大正确.
故选D.
点评:能用静力学观点确解决问题.


本题难度:一般




首页 上页 4 5 6 下页 尾页 5/10/10
微信搜索关注"91考试网"公众号,领30元,获取公务员事业编教师考试资料40G
【省市县地区导航】【考试题库导航】
 ★ 高考省级导航 ★ 
全国 A安徽 B北京 C重庆 F福建 G广东 广西 甘肃 贵州 H河南 河北 湖南 湖北 黑龙江 海南 J江苏 江西 吉林 L辽宁 N内蒙古 宁夏 Q青海 S山东 山西 陕西 四川 上海 T天津 X新疆 西藏 Y云南 Z浙江
 ★ 高考信息汇总 ★ 
 ★ 高考历年真题 ★ 
 ★ 高考历年真题 ★ 
 ★ 高考题库 ★ 
 ★ 高考题库 ★ 

电脑版  |  手机版  |  返回顶部