时间:2020-08-15 23:34:44
1、简答题 无人飞船“神州二号”曾在离地面高度为H=3.4×105m的圆轨道上运行了47小时.求在这段时间内它绕行地球多少圈?(地球半径R=6.37×106m,重力加速度g=9.8m/s2)
参考答案:设飞船的圆轨道半径为r,则知:r=R+H=6.71×206m,飞船受到的万有引力充当向心力,由牛顿第二定律得:GMmr2=4π2mrT2
式中M表示地球质量,m表示飞船质量,T表示飞船绕地球运行的周期,G表示万有引力常数.
又因在地球表面有:GMm′R2=m′g
联立两式解得周期:T=2πrR
本题解析:
本题难度:一般
2、计算题 如图所示,一位宇航员站在某质量分布均匀的星球表面的一斜坡上的A 点,沿水平方向以初速度v0抛出一个小球,测得小球经时间t落到斜坡上另一点B,斜坡的倾角为α,已知该星球的半径为R。求:
(1)该星球表面的重力加速度;
(2)该星球的第一宇宙速度。
参考答案:解:(1)设该星球表面的重力加速度为g,A、B两点之间的距离为L,则根据平抛运动规律有
水平方向上:x=Lcosα=v0t
竖直方向:
解得:
。
(2)设该星球质量为M,对绕该星球表面运行的质量为m的卫星,由万有引力定律得:
又由万有引力定律和牛顿第二定律有
解得:
。
本题解析:
本题难度:一般
3、填空题 (1)一飞船在某星球表面附近,受星球引力作用而绕其做匀速圆周运动的速率为
,飞船在离该星球表面高度为h处,受星球引力作用而绕其做匀速圆周运动的速率为
,已知引力常量为G,则该星球的质量表达式为??。
参考答案:
本题解析:飞船绕星球表面做圆周运动,向心力由万有引力提供,令星球的质量M、飞船的质量为m半径为R则根据题意有:
①,
②
由①②可得M=
本题难度:一般
4、选择题 利用下列数据可以估算出地球的质量的是:(万有引力恒量G均已知)( )
A:已知地球的半径r和地球表面的重力加速度g
B:已知卫星围绕地球运动的轨道半径r和周期T
C:已知卫星围绕地球运动的角速度W和线速度V
D:已知卫星围绕地球运动的角速度W和周期T
参考答案:ABC
本题解析:由
得
,A对;由
得
,B对;由
,
联立得
,C对;由
知不能求出轨道半径r,D错。
本题难度:一般
5、简答题 1789年英国著名物理学家卡文迪许首先估算出了地球的平均密度。根据你学过的知识,能否知道地球平均密度的大小。
参考答案:ρ=5.5×103 kg/m3
本题解析:实际本题是要求进行估算,因而如何挖掘题目中的隐含条件是关键.而我们学过的知识中能与地球质量密度相联系的应首先想到万有引力定律,何况题设中提出了“卡文迪许”呢?
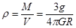
设地球质量为M,地球半径为R,地球表面的重力加速度为g,忽略地球自转的影响,根据万有引力定律得:
?1
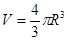
将地球看成均匀球体:
?2
由以上得地球的平均密度
上式中π、G、R和g均为常数,将它们的值代入可得:
ρ=5.5×103 kg/m3
即地球的平均密度为ρ=5.5×103 kg/m3
[点评]?估算题中往往告诉的已知量很少或者什么量也不告诉,解题时就要求我们灵活地运用一些物理常数,如:重力加速度g、圆周率π、万有引力恒量G等等.
本题难度:简单