时间:2020-08-15 23:03:37
1、选择题 质谱仪是测量带电粒子的质量和分析同位素的重要工具,如图为质谱仪原理示意图.现利用这种质谱议对氢元素进行测量.氢元素的各种同位素从容器A下方的小孔S无初速度飘入电势差为U的加速电场,加速后垂直进入磁感强度为B的匀强磁场中.氢的三种同位素氕、氘、氚的电量之比为1:1:1,质量之比为1:2:3,它们最后打在照相底片D上,形成a、b、c三条“质谱线”. 关于三种同位素进入磁场时速度的排列顺序和a、b、c三条“质谱线” 的排列顺序,下列判断正确的是?。
A.进入磁场时速度从大到小排列的顺序是氚、氘、氕
B.进入磁场时速度从大到小排列的顺序是氘、氚、氕
C.a、b、c三条质谱线依次排列的顺序是氘、氚、氕
D.a、b、c三条质谱线依次排列的顺序是氚、氘、氕
参考答案:D
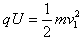
本题解析:经加速电场
,三种同位素获得相同的动能,进入偏转磁场
,质量大的半径大,所以a、b、c三条质谱线依次排列的顺序是氚、氘、氕,D对。
本题难度:简单
2、计算题 在高能物理研究中,粒子加速器起着重要作用,而早期的加速器只能使带电粒子在高压电场中加速一次,因而粒子所能达到的能量受到高压技术的限制。1930年,Earnest O. Lawrence提出了回旋加速器的理论,他设想用磁场使带电粒子沿圆弧形轨道旋转,多次反复地通过高频加速电场,直至达到高能量。图甲为Earnest O. Lawrence设计的回旋加速器的示意图。它由两个铝制D型金属扁盒组成,两个D形盒正中间开有一条狭缝;两个D型盒处在匀强磁场中并接有高频交变电压。图乙为俯视图,在D型盒上半面中心S处有一正离子源,它发出的正离子,经狭缝电压加速后,进入D型盒中。在磁场力的作用下运动半周,再经狭缝电压加速;为保证粒子每次经过狭缝都被加速,应设法使交变电压的周期与粒子在狭缝及磁场中运动的周期一致。如此周而复始,最后到达D型盒的边缘,获得最大速度后被束流提取装置提取出。已知正离子的电荷量为q,质量为m,加速时电极间电压大小恒为U,磁场的磁感应强度为B,D型盒的半径为R,狭缝之间的距离为d。设正离子从离子源出发时的初速度为零。
(1)试计算上述正离子从离子源出发被第一次加速后进入下半盒中运动的轨道半径;
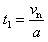
(2)尽管粒子在狭缝中每次加速的时间很短但也不可忽略。试计算上述正离子在某次加速过程当中从离开离子源到被第n次加速结束时所经历的时间;
(3)不考虑相对论效应,试分析要提高某一离子被半径为R的回旋加速器加速后的最大动能可采用的措施。 
参考答案:解:(1)设正离子经过窄缝被第一次加速加速后的速度为v1,由动能定理得
正离子在磁场中做匀速圆周运动,半径为r1,由牛顿第二定律得
由以上两式解得
(2)设正离子经过窄缝被第n次加速加速后的速度为vn,由动能定理得
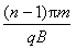
粒子在狭缝中经n次加速的总时间
由牛顿第二定律
由以上三式解得电场对粒子加速的时间
正离子在磁场中做匀速圆周运动,由牛顿第二定律
又
粒子在磁场中做圆周运动的时间
由以上三式解得
所以,粒子从离开离子源到被第n次加速结束时所经历的时间
+
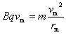
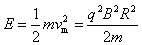
(3)设离子从D盒边缘离开时做圆周运动的轨迹半径为rm,速度为vm

离子获得的最大动能为
所以,要提高某一离子被半径为R的回旋加速器加速后的最大动能可以增大加速器中的磁感应强度B
本题解析:
本题难度:困难
3、选择题 1930年劳伦斯制成了世界上第一台回旋加速器,其原理如图所示,这台加速器由两个铜质D形合D1、D2构成,其间留有空隙,下列说法不正确的是( ? )

参考答案:C
本题解析:
本题难度:一般
4、选择题 回旋加速器是利用较低电压的高频电源使粒子经多次加速获得巨大速度的一种仪器,工作原理如图,下列说法正确的是

[? ]
参考答案:AC
本题解析:
本题难度:一般
5、选择题 质谱仪是一种测定带电粒子质量和分析同位素的重要工具,它的构造原理如图所示,离子源S产生的各种不同正离子束(速度可看作为零),经加速电场加速后垂直进入有界匀强磁场,到达记录它的照相底片P上,设离子在P上的位置到入口处S1的距离为x,则下列判断正确的是( ? )

参考答案:D
本题解析:
本题难度:一般