时间:2020-08-09 23:49:35
1、选择题
在奥运比赛项目中,高台跳水是我国运动员的强项.质量为m的跳水运动员入水后受到水的阻力而竖直向下做减速运动,设水对他的阻力大小恒为F.那么在他减速下降高度为h的过程中,下列说法正确的是(g为当地的重力加速度)
A.他的动能减少了Fh
B.他的重力势能减少了mgh
C.他的动能减少了(F-mg)h
D.他的机械能减少了Fh
2、选择题 如图a所示,光滑绝缘水平面上有甲、乙两个点电荷.t=0时,乙电荷向甲运动,速度为6m/s,甲的速度为0.之后,它们仅在静电力的相互作用下沿同一直线运动(整个运动过程中没有接触),它们运动的v-t图象分别如图b中甲、乙两曲线所示.则由图线可知( )
A.两电荷的电性不一定相同
B.t1时刻两电荷的电势能最小
C.0~t2时间内,两电荷间的静电力先增大后减小
D.0~t3时间内,甲的动能一直增大,乙的动能一直减小
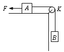
3、计算题 如图所示,在水平桌面的边角处有一轻质光的定滑轮K,一条不可伸长的轻绳绕过K分别与物块A、B相连,A、B的质量分别为mA、mB。开始时系统处于静止状态。现用一水平恒力F拉物块A,使物块B上升。已知当B上升距离为h时,B的速度为v。求此过程中物块A克服摩擦力所做的功。重力加速度为g。

4、选择题 如图所示,一个质量为m的物体(可视为质点),以某一初速度由A点冲上倾角为30°的固定斜面,其加速度大小为g,物体在斜面上运动的最高点为B,B点与A点的高度差为h,则从A点到B点的过程中,下列说法正确的是( )
A.物体动能损失了
| mgh 2 |
| mgh 2 |

5、选择题 质量为m的物块,带正电q,开始时让它静止在倾角α=60°的固定光滑绝缘斜面顶端,整个装置放在水平方向、大小为E=
的匀强电场中,如图所示,斜面高为H,释放物体后,物块落地的速度大小为
[? ]
A.
B.2
C.2
D.