时间:2020-08-09 23:41:47
1、选择题 一人用力踢质量为1kg的皮球,使球由静止以20m/s的速度飞出。假定人踢球瞬间对球平均作用力是200N,球在水平方向运动了20m停止。那么人对球所做的功
[? ]
A.50 J
B.200 J
C.500 J
D.4 000 J
参考答案:B
本题解析:
本题难度:一般
2、选择题 速度为v的子弹,恰好可穿透一块固定的木板,如果子弹速度为2v,子弹穿透木板时所受阻力与射入的深度成正比,则可穿透同样的叠放的固定木板
A.2块
B.3块
C.4块
D.8块
参考答案:A
本题解析:设每块木板厚度为h,由动能定理
,当子弹速度为2v,设穿过n个固定木板,有
2,A对;
本题难度:简单
3、选择题 
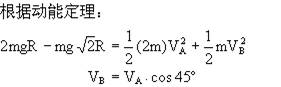
如图,有一半径为R的半圆形曲面MPQ,质量为2m的A球与质量为m的B球, 用轻质绳连接后挂在圆柱曲面边缘.现将A球从边缘M点由静止释放, 若不计一切摩擦,则A球沿圆柱曲面滑到最低点P时,其速度大小为
参考答案:
A
本题解析:

本题难度:简单
4、计算题 (2010·四川卷)25.(20分)如图所示,空间有场强
的竖直向下的匀强电场,长
的不可伸长的轻绳一端固定于O点,另一端系一质量
的不带电小球
,拉起小球至绳水平后,无初速释放。另一电荷量
、质量与
相同的小球
,以速度
水平抛出,经时间
与小球
与
点下方一足够大的平板相遇。不计空气阻力,小球均可视为质点,取
。
(1)求碰撞前瞬间小球
的速度。
(2)若小球
经过路
到达平板,此时速度恰好为0,求所加的恒力。
(3)若施加恒力后,保持平板垂直于纸面且与水平面的夹角不变,在
点下方面任意改变平板位置,小球
均能与平板正碰,求出所有满足条件的恒力。
参考答案:(1)
(2)
? α=30°(3)
?(其中0≤β<120°)
本题解析:(1)P做抛物线运动,竖直方向的加速度为
在D点的竖直速度为
P碰前的速度为
(2)设在D点轻绳与竖直方向的夹角为
,由于P与A迎面正碰,则P与A速度方向相反,所以P的速度与水平方向的夹角为
有
,
=30°
对A到达D点的过程中根据动能定理
化简并解得
P与A迎面正碰结合为C,根据动量守恒得
解得?
?m/s
小球C经过s速度变为0,一定做匀减速运动,根据位移推论式
?m/s2
设恒力F与竖直方向的夹角为α,如图,根据牛顿第二定律


给以上二式带入数据得

解得
? α=30°
(3)平板足够大,如果将平板放置到无限远根据题意也能相碰,此时小球C必须匀速或加速不能减速,所以满足条件的恒力在竖直线与C的速度线之间,设恒力与竖直方向的夹角为β,则? 0≤β<120°
在垂直速度的方向上,恒力的分力与重力和电场力的分力等大反向,有
则满足条件的恒力为
?(其中0≤β<120°)
本题难度:一般
5、选择题 如图所示,在点O置于一个正点电荷,在过点O的竖直平面内的点A处,自由释放一个带正电的小球,小球的质量为m,带电量为q,小球落下的轨迹如图中实线所示,它与以O为圆心,R为半径的圆相交于B、C两点,点O、C在同一水平线上,∠BOC=30°,点A距OC高度为h,若小球过B点时的速度为v,则( )
A.小球运动到C点时的速度为
v2+g(h-
|
| v2+2gR |
| 1 2 |
| R 2 |
| 1 2 |

参考答案:A、B、小球从B点到C点的过程中,由动能定理得:mgRsin30°=12mv2C-12mv2,得C点的速度vC=
本题解析:
本题难度:一般