时间:2020-08-09 23:33:32
1、计算题  【选修3-3选做题】
如图所示,某水银气压计的玻璃管顶端高出水银槽液面1m,因上部混有少量的空气使读数不准,当气温为27 ℃时标准气压计读数为76 cmHg,该气压计读数为70 cmHg,求: 
(1)若在气温为27 ℃时,用该气压计测得的气压读数为64 cmHg,则实际气压应为多少cmHg;
(2)若在气温为7 ℃时,用该气压计测得的气压读数为68 cmHg,则实际气压应为多少cmHg。
参考答案:解:取管内封闭气体为研究对象 
(1)设实际气体压强为p,若玻璃管横截面积为S,当气温为27 ℃时 
初状态P1=(76-70) cmHg=6 cmHg,V1=(100-70) cm·S=30 cm·S 
末状态P2=p-64 cmHg,V2=36 cm·S 
由玻意耳定律得P1V1=P2V2
代入数据解得p=69 cmHg 
(2)设实际气体压强为p"
初状态p1=(76-70) cmHg=6 cmHg,V1=(100-70) cm·S=30 cm·S,T1=273 K+27 K=300 K 
末状态p3=p"-68 cmHg,V3=(100-68) cm·S,T3=280K
由理想气体状态方程得
代入数据解得p"=73. 25 cmHg
本题解析:
本题难度:一般
2、简答题  
如图所示,一个竖直放置的右端开口的U形管,竖管长均为50cm,水平管长为20cm,管的内径均匀,管中有一段长为8cm的水银柱,初始时刻水银柱上端封闭30cm长理想气体,右管开口,当时大气压强相当于76cmHg产生的压强。现将开口端接抽气机缓慢向外抽气,使右管中气体压强降至相当于24cmHg产生的压强,求此时左管中原来封闭气柱的长度。(整个过程气体温度保持不变)
注:1cmHg=1333.22Pa。
参考答案:
 68cm
本题解析:
初态时左管内封闭气体的体积为 =30S,压强为
=30S,压强为 ="(76-8)cmHg" ①
="(76-8)cmHg" ①
末态时,汞柱处在管的右角,如图所示,设汞柱竖直部分高为xcm。则左管内封闭气体体积为 ="[50+20-(8-x)]S" ②
="[50+20-(8-x)]S" ②
末态时压强相当于 ="(24+x)cmHg" ③
="(24+x)cmHg" ③
根据玻意耳-马略特定律
(76-8)·30S="(24+x)[50+20-(8-x)]S" ④ +86x-552="0" x=6cm
+86x-552="0" x=6cm
封闭端(柱长为:L="50+20-(8-6)=68cm"
本题难度:简单
3、计算题  房间长L1=7m,宽L2=5m,高h=3.2m,假设房间内的空气处于标准状况,已知阿伏伽德罗常数NA=6.02×1023mol-1。
(1)求房间内空气分子数;
(2)如果空气的压强不变,温度升高到270C,求原房间内的空气其体积将变为多少;
(3)升温过程中,房间内空气分子的平均动能如何变化? 
参考答案:解:(1)房间的体积V=L1L2h=ll2m3 ① 
室内的空气分子数 个②
个②
(2)温度由T=273K升高到T"=300K③ 
设原来的教室中的空气的体积将增大到V",则有 ④
④ ⑤
⑤
(3)教室里空气分子的平均能动增大⑥。
本题解析:
本题难度:一般
4、简答题  两端封闭的气缸,有一可以无摩擦滑动的活塞,面积为S,气缸的质量为m,活塞(包括细的提杆)的质量也为m。活塞上下两部分均为理想气体,当对提杆不施加压力和拉力时,活塞恰好静止于气缸的中间,如图所示,此时气缸上方气体的压强为P0。若保持温度不变, 以力F向上提细杆,使气缸、活塞以同一加速度a竖直向上做匀加速运动,这时活塞上下两部分气体体积的比为1∶2。求加速度a和拉力F的大小?
参考答案: ?,?
?,?
本题解析:
静止时,气缸上方气体压强为 ,上下缸体积均为V/2。
,上下缸体积均为V/2。
当两者都以a向上运动时,按玻-马定律
对活塞 F-mg-(p′0-p′1)S=ma……④
本题难度:简单
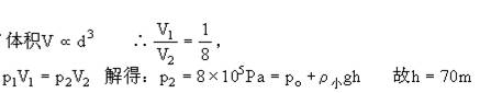
5、简答题  一直径为d的气泡从湖底升起,到达水面时直径扩大为2d.设湖水处处温度相同,大气压强为1.01× Pa,则湖的深度为多少?
Pa,则湖的深度为多少?   
参考答案:70m
本题解析:
本题难度:简单