高中物理知识点总结《匀变速直线运动基本公式应用》高频试题预测(2020年最新版)(九)

时间:2020-08-09 23:23:34

微信搜索关注"91考试网"公众号,领30元,获取事业编教师公务员等考试资料40G

1、选择题  一个作匀加速直线运动的物体,先后经过ab两点时的速度分别为v和7v,经过ab段的时间为t,则下列判断不正确的是?
[? ]
A.经过ab中点时的速度为4v?
B.经过ab中间时刻的速度为5v?
C.前一半时间通过的位移比后一半时间通过的位移少?
D.前一半位移所需的时间是后一半位移所需时间的2倍


参考答案:CD


本题解析:


本题难度:一般



2、简答题  火车在平直公路上作匀加速直线运动,车头通过某路标时,速度v1,车尾通过路标时的速度v2,则车的中点通过该路标的速度为?


参考答案:


本题解析:本题实际上是要求解质点在中间位移时的速度大小,设车长为,车的中点通过该路标时的速度为,则有:

则可知:


本题难度:简单



3、选择题  将一质量为m的物体以初速度υ0竖直向上抛出,经过一段时间后又落回抛出点,速度大小为υ。假设运动过程中空气阻力大小不变,上升阶段、下降阶段的时间和加速度大小分别为t1、t2和a1、a2,则
A.t1=t2、a1=a2、υ=υ0
B.t1<t2、a1>a2、υ<υ0
C.t1>t2、a1>a2、υ>υ0
D.t1<t2、a1<a2、υ<υ0


参考答案:B


本题解析:由于无论上升阶段还是下降阶段,空气阻力一直做负功,所以有,上升阶段和下降阶段的位移相同,所以根据公式,可得,由于,故,上抛运动逆过来看做初速度为零的匀加速直线运动,所以有,由于,所以,故B正确,本题还可以通过牛顿第二定律分析加速度大小关系,
考点:考查了运动学公式的综合应用


本题难度:一般



4、计算题  一辆汽车在平直公路上做匀变速直线运动,公路边每隔15m有一棵树,如图所示,汽车通过AB两相邻的树用了3s,通过BC两相邻的树用了2s,求汽车运动的加速度和通过树B时的速度为多少?



参考答案:解:汽车经过树A时速度为vA,加速度为a
对AB段运动,由有:
同理,对AC段运动,有:
两式联立解得:
再由得:


本题解析:


本题难度:一般



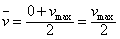
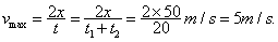
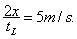
5、计算题  从车站开出的汽车,做匀加速直线运动,走了12 s时,刚好达到最大速度,发现还有乘客没上来,于是立即做匀减速运动至停车,总共历时20 s,行进了50 m,求汽车的最大速度.


参考答案:解法一:(基本公式法)设最大速度为vmax,由题意得,

,解得
解法二:(平均速度法)由于汽车在前后两段均做匀变速直线运动,故前后段的平均速度均为最大速度vmax的一半, 即。由得vmax=
解法三:(图象法)作出运动全过程的v-t图象,如图所示,v-t图象与t轴围成的三角形的面积与位移等值, 故,则


本题解析:


本题难度:一般




首页 上页 8 9 10 下页 尾页 9/10/10
微信搜索关注"91考试网"公众号,领30元,获取公务员事业编教师考试资料40G
【省市县地区导航】【考试题库导航】
 ★ 高考省级导航 ★ 
全国 A安徽 B北京 C重庆 F福建 G广东 广西 甘肃 贵州 H河南 河北 湖南 湖北 黑龙江 海南 J江苏 江西 吉林 L辽宁 N内蒙古 宁夏 Q青海 S山东 山西 陕西 四川 上海 T天津 X新疆 西藏 Y云南 Z浙江
 ★ 高考信息汇总 ★ 
 ★ 高考历年真题 ★ 
 ★ 高考历年真题 ★ 
 ★ 高考题库 ★ 
 ★ 高考题库 ★ 

电脑版  |  手机版  |  返回顶部