高考物理试题《直线运动》考点强化练习(2020年练习版)(五)

时间:2020-08-09 23:00:06

微信搜索关注"91考试网"公众号,领30元,获取事业编教师公务员等考试资料40G

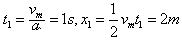
1、选择题  做匀减速直线运动的物体经4s后停止,若在第1s内的位移是14m,则最后1s的位移是
A.3.5m
B.2m   
C.1m     
D.0


参考答案:B


本题解析:试题分析:物体在第1s内的平均速度等于在这1s时间中点的瞬时速度,即0.5s时的速度v1=14m/s,再经过3.5s速度减为0,求得加速度a=-4m/s2,则最后1s末速度为零,可反向作为匀速加速运动,由x=at2/2,得位移为2m,B正确。
考点:本题考查匀变速运动规律应用。


本题难度:一般



2、实验题  某同学想要了解导线在质量相同时,电阻与截面积的关系。选取了材料相同、质量相等的5卷导线,进行了如下实验:
(1)用螺旋测微器测量某一导线的直径如图所示,读得直径d=_________mm。

(2)该同学经实验测量及相关计算得到如下数据:

请你根据以上数据判断,该种导线的电阻R与截面积S是否满足反比关系?若满足反比关系,请说明理由;若不满足,请写出R与S应满足的关系。
(3)若导线的电阻率ρ=5.1×10-7 Ω·m,则表中阻值为3.1 Ω的导线长度l=_________m(结果保留两位有效数字)。


参考答案:(1)1.200
(2)不满足,R与S2成反比(或RS2=常量)
(3)19


本题解析:


本题难度:一般



3、简答题  汽车做匀加速直线运动,初速度为10m/s,若它在开始的10s内位移为150m,求:
(1)它的加速度;
(2)在离出发点48m处的速度大小.


参考答案:(1)根据位移时间公式x=v0t+12at2,
代入数据:150=10×10+12×102a
解得a=1m/s2
(2)根据位移速度公式2ax′=v2-v02
代入数据解得离出发点48?m处的速度:v=14m/s.


本题解析:


本题难度:一般



4、计算题  “10米折返跑”的成绩反映了人体的灵敏素质,如图所示。测定时,在平直跑道上,受试者以站立式起跑姿势站在起点终点线前,当听到“跑”的口令后,全力跑向正前方10米处的折返线,测试员同时开始计时,受试者到达折返线处时,用手触摸折返线处的物体(如木箱),再转身跑向起点终点线,当胸部到达起点终点线的垂直面时,测试员停表,所用时间即为“10米折返跑”的成绩。设受试者起跑的加速度为4 m/s2,运动过程中的最大速度为4 m/s,快到达折返线处时需减速到零,减速的加速度为8 m/s2,返回时达到最大速度后不需减速,保持最大速度冲线。求该受试者“10米折返跑”的成绩为多少秒?


参考答案:解:对受试者,由起点终点线向折返线运动的过程中:
加速阶段:
减速阶段:
匀速阶段:
由折返线向起点终点线运动的过程中:
加速阶段:1 s,
匀速阶段:
受试者“10米折返跑”的成绩为:t=t1+t2+t3+t4+t5=6.25s


本题解析:


本题难度:困难



5、选择题  如图所示为甲、乙两个质点的速度—时间图象,根据图象可知(?)

A.甲做匀变速直线运动,乙做匀速直线运动
B.甲、乙两质点在t=0时刻的位置不一样
C.甲、乙两质点在t="2" s时刻相遇
D.在前4 s内甲、乙两质点的位移相等


参考答案:D


本题解析:物体在第1 s末速度开始减小,方向不变,A错.由图象知,物体第2 s内的速度方向和第3 s内的速度方向是相反的,B错.物体在前2 s内都向前运动,故2 s末不会返回到出发点,C错.物体在2 s至4 s内,处于返回阶段,通过计算(或根据面积等于位移)可知,物体在第4 s末返回到出发点,D对.


本题难度:简单




首页 上页 4 5 6 下页 尾页 5/10/10
微信搜索关注"91考试网"公众号,领30元,获取公务员事业编教师考试资料40G
【省市县地区导航】【考试题库导航】
 ★ 高考省级导航 ★ 
全国 A安徽 B北京 C重庆 F福建 G广东 广西 甘肃 贵州 H河南 河北 湖南 湖北 黑龙江 海南 J江苏 江西 吉林 L辽宁 N内蒙古 宁夏 Q青海 S山东 山西 陕西 四川 上海 T天津 X新疆 西藏 Y云南 Z浙江
 ★ 高考信息汇总 ★ 
 ★ 高考历年真题 ★ 
 ★ 高考历年真题 ★ 
 ★ 高考题库 ★ 
 ★ 高考题库 ★ 

电脑版  |  手机版  |  返回顶部