时间:2020-08-09 22:55:18
1、计算题 如图甲所示,两平行金属板的板长不超过0.2 m,板间的电压u随时间t变化的图线如图乙所示,在金属板右侧有一左边界为MN、右边无界的匀强磁场,磁感应强度
,方向垂直纸面向里.现有带正电的粒子连续不断地以速度
,沿两板间的中线
平行金属板射入电场中,磁场边界MN与中线
垂直.已知带电粒子的比荷
,粒子所受的重力和粒子间的相互作用力均忽略不计.
(1)在每个粒子通过电场区域的时间内,可以把板间的电场强度看作是恒定的.试说明这种处理能够成立的理由.
(2)设
时刻射入电场的带电粒子恰能从平行金属板边缘射出,求该带电粒子射出电场时的速度大小.
(3)对于所有经过电场射入磁场的带电粒子,设其射入磁场的入射点和从磁场射出的出射点间的距离为d,试判断d的大小是否随时间而变化?若不变,证明你的结论;若变,求出d的变化范围.

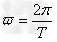
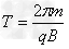
参考答案:(1)带电粒子在金属板间运动时间
故t时间内金属板间的电场可以认为是恒定的.(2) 
本题解析:(1)带电粒子在金属板间运动时间
,
①
得
,(或t时间内金属板间电压变化
,变化很小)②
故t时间内金属板间的电场可以认为是恒定的.
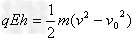
(2)
时刻偏转电压
带电粒子沿两板间的中线射入电场恰从平行金属板边缘飞出电场,电场力做功
③
由动能定理:
④
代入数据可得
⑤
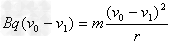
(3)设某一任意时刻射出电场的粒子速率为v,速度方向与水平方向的夹角为α,则
⑥
粒子在磁场中有
⑦
可得粒子进入磁场后,在磁场中做圆周运动的半径
由几何关系
⑧
可得:
,故d不随时间而变化.
点评:本题是组合场问题,综合应用动能定理、牛顿运动定律、运动学知识以及几何知识,中等难度
本题难度:一般
2、选择题 右图中MN、GH为足够长光滑平行金属导轨,金属棒AB、CD垂直放在两导轨上,整个装置在同一水平面内。匀强磁场垂直于导轨所在的平面,方向如图。若给CD杆一个水平向右的速度,则
A.AB、CD最终都处于静止状态
B.AB、CD最终以相同的速度保持匀速直线运动状态
C.AB、CD最终保持匀速直线运动状态,但vCD> vAB
D.AB、CD不断做往复运动
参考答案:B
本题解析:根据电磁感应定律和牛顿第二定律:对AB棒有:
对CD棒有:
一个加速一个减速,当二者共速时,磁通量不变,没有感应电动势产生,不再受安培力,二者将匀速运动。所以选B.
本题难度:简单
3、选择题 如图所示的空间中存在着都沿水平方向且正交的匀强电场和匀强磁场,从A点沿AB、AC方向绝缘地抛出两带电小球,关于小球的运动情况,下列说法中正确的是( )
A.从AB、AC抛出的小球都可能做直线运动
B.只有沿AB抛出的小球才可能做直线运动
C.做直线运动的小球带正电,而且一定是做匀速直线运动
D.做直线运动的小球机械能守恒
参考答案:A、B、C、沿着AB抛出的小球,若小球带正电,受到重力、水平向右的电场力和垂直于AB连线向上的洛伦兹力,三力的合力可能为零,可能做匀速直线运动;
沿着AC抛出的小球,若小球带正电,受到重力、水平向右的电场力和垂直于AC连线向上的洛伦兹力,三力的合力不可能为零,不可能做匀速直线运动;由于洛伦兹力随速度的变化,也不可能做直线运动;若小球带负电,受到重力、水平向左的电场力和垂直于AC连线向下的洛伦兹力,三力的合力不可能为零,一定做曲线运动.故A错误,B正确,C正确.
D、从AB抛出的小球,由于电场力做功,其机械能一定不守恒,故D错误.
故选:BC.
本题解析:
本题难度:简单
4、计算题 (14分)如图13所示,在平面直角坐标系
中,仅在第Ⅱ象限存在沿
轴正方向的匀强电场,一质量为
,电荷量为
,可视为质点的带正电粒子(重力不计)从
轴负半轴
处的M点,以初速度
垂直于
轴射入电场,经
轴上
处的P点进入第I象限。
(1)求电场强度的大小和粒子进入第I象限的速度大小。
(2)现要在第I象限内加一半轻适当的半圆形匀强磁场区域,使(1)问中进入第I象限的粒子,恰好以垂直于
轴的方
向射出磁场。求所知磁场区域的半径。要求;磁场区域的边界过坐标原点,圆心在
一上,磁场方向垂直于从标平面向外,磁感应强度为

参考答案:(1)
(2)
本题解析:
解:(1)设粒子到达P点用时为
方向:
?(2分)
方向:
?(1分)
解得
?(1分)
又由动能定理
?(2分)
解得
?(1分)
(2)粒子进入磁场,速度方向与
方向夹角
,
得
?(1分)
设粒子在磁场中运动的半径为
,
,
及
解得
?(2分)
如图,设磁场区域半径为R根据勾股定理
?(2分)
解得
?(2分)
本题难度:简单
5、选择题 如图水平面的上方有竖直向上的匀强电场,平面上静止着质量为M的绝缘物块,一质量是m的带正电弹性小球,以水平速度v与物块发生碰撞,并以原速率返回,弹回后仅在电场力和重力的作用下沿着虚线运动,则下列说法正确的是(?)
A.弹回后球的机械能守恒
B.弹回后轨迹是抛物线
C.弹回后机械能与电势能的总和守恒
D.弹回后动能增加.
参考答案:BCD
本题解析:弹回后,电场力做正功,所以球的机械能不守恒,A错误,弹回后,小球在水平方向上做匀速直线运动,在竖直方向上在电场力和重力的作用下做加速运动,所以轨迹为一条抛物线,B正确,弹回后重力和电场力做功,没有外力做功,所以机械能与电势能的总和守恒,C正确,电场力做正功,且电场力大于重力,所以小球动能增大,D正确,
点评:关键是对小球受力分析,根据力的运动的关系判断小球的运动情况,根据功能关系判断小球的能量变化
本题难度:一般