时间:2020-08-09 22:39:27
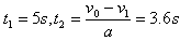
1、计算题 跳伞运动员在直升飞机上做跳伞表演,当飞机离地面224m高处相对静止时,运动员离开飞机在竖直方向做自由落体运动,运动一段时间后,立即打开降落伞,打开降落伞后运动员以12.5m/s2的加速度匀减速下降、为了运动员的安全,要求运动员落地的速度最大不得超过5m/s。(g=10m/s2)
(1)运动员着地时相当于从多高处自由落下?
(2)运动员打开降落伞时离地面高度至少为多少?
(3)运动员在空中的最短时间为多少?
参考答案:解:已知H=224m,a=12.5m/s2,v1=5m/s
(1)
m
(2)设打开降落伞时离地的高度为h,得出
?
(3)由上解得
空中最短时间为
本题解析:
本题难度:困难
2、简答题 某同学利用多频率电火花计时器研究自由落体运动,他把重锤固定在纸带下端,让纸带穿过电火花计时器,然后把纸带的上端用铁夹子固定在铁架台上.先调整电火花计时器的放电频率为?50Hz,再接通电源,使它工作起来,然后释放纸带,重锤带动纸带自由下落,纸带上被电火花打出一系列点迹,如下图所示,其中0,1,2,3,4是连续打出的几个点,相邻两点间的距离s1=6.04cm,s2=6.43cm,s3=6.81cm,s4=7.20cm.(?以下计算结果保留3位有效数字)
(1)由题中所给数据可求得重锤经1点时的速度分别为v1=______m/s
(2)根据这条纸带求出重力加速度g的数值是______m/s2.
(3)若该同学通过实验测得的重力加速度值比公认值偏小,则可能的原因是:______(只需写出任意其中的一个原因即可)
参考答案:根据匀变速直线运动中时间中点的速度等于该过程中的平均速度有:
v1=s1+s22T=0.0604+0.06430.04=2.37m/s
相邻时间间隔为:t=2T=0.02s,因此根据逐差法有:
a=s4+s3-s2-s14T2=0.072+0.0681-0.0604-0.06430.0016=9.625m/s2
由于重物下落的过程中不可避免的存在摩擦阻力,因此所测重力加速度比实际的要小.
故答案为:2.37;9.625;在摩擦阻力
本题解析:
本题难度:一般
3、选择题 A、B、C是三个形状大小相同小球,其中A是实心木球,B是实心铁球,C是空心铁球且质量与A相同,三球同时从同一高度开始下落,若所受阻力相同,则三球落地时间应( )
A.相同
B.B先落地,A最后
C.A、B同时落地,C最后
D.A、C同时落地,B最先
参考答案:设小球质量为m,下落过程受到的阻力为f,加速度为a.
由牛顿第二定律得
? mg-f=ma
得到a=g-fm
由题三球所受阻力f相同,相同A与C质量相同,B球的质量最大,则三球加速度关系为aA=aC<aB.
由h=12at2得
? t=
本题解析:
本题难度:简单
4、简答题 做自由落体运动的物体,在最后2秒内通过的位移是100米(?g取10m/s2?),求:
(1)物体开始下落的高度?
(2)落到地面所需的时间?
(3)落地时的速度?
参考答案:设整个下落时间为t,
根据最后2秒内通过的位移是100米
有:12gt2-12g(t-2)2=100m?
可得:t=6秒?
根据h=12gt2可得:h=180米?
根据v=gt可得v=60m/s?
答:(1)物体开始下落的高度为180m;
(2)落到地面所需的时间为6s;
(3)落地时的速度为60m/s.
本题解析:
本题难度:一般
5、选择题 下列说法符合物理史实的是?(?)
A.牛顿最早论证了重物体不会比轻物体下落得快
B.卡文迪许利用扭秤装置比较准确地测出万有引力的引力常量G
C.相对论的创立表明经典力学已不再适用
D.法拉第首先发现电流可以使周围磁针偏转的效应,称为电流的磁效应
参考答案:B
本题解析:略
本题难度:简单