时间:2020-08-09 22:32:55
1、选择题 如果一个不计重力的带电粒子(质量和电量恒定)通过空间时动量没有发生变化,可以推测出此部分空间 ( )
A.一定没有电场存在
B.一定没有磁场存在
C.可能存在同方向的电场和磁场
D.可能存在相互垂直的电场和磁场
参考答案:A、B、D、带电粒子通过某个空间时动量没有发生变化,说明做匀速直线运动,加速度为零,合力为零;
该空间可能存在正交的电磁场,洛伦兹力与电场力平衡;故AB错误,D正确;
C、若存在同方向的电场和磁场,电场力与电场方向平行,洛伦兹力与磁场方向垂直,故洛伦兹力与电场力不共线,不可能平衡,矛盾,故C错误;
故选D.
本题解析:
本题难度:简单
2、填空题 水力采煤是用高压水枪喷出的水柱冲击煤层而使煤掉下,所用水枪的直径 D=3cm,水速为 60m/s,水柱垂直射到煤层表面上,冲击煤层后自由下落.求水柱对煤层的平均冲力?(水的密度ρ=103㎏/m3)
参考答案:2543N
本题解析:略
本题难度:简单
3、简答题 一根质量不计、长为1 m、能承受最大拉力为14 N的绳子,一端固定在天花板上,另一端系一质量为1 kg的小球,整个装置处于静止状态,如图所示.若要将绳子拉断,则作用在小球上的水平冲量至少应为多少?(g取10 m/s2)
参考答案:2 N·s
本题解析:小球在最低点受力如图.要使绳子拉断,当拉力达到最大时,据牛顿第二定律有:
Fm-G≤m
?①
又据动量定理有I=mvm?②
①②式联立得Imin="2" N·s.
本题难度:简单
4、计算题 【物理——选修3-5】(15分)
小题1:下列说方法正确的是?(?)
A.人类关于原子核内部的信息,最早来自天然放射现象
B.在α、β、γ三种射线中γ射线电离作用最强
C.放射性元素的半衰期会随着温度的升高而缩短
D.较重的核分裂成中等质量大小的核或较轻的核合并成中等质量大小的核,核子的比结合能都会增加
小题2:某小组在探究反冲运动时,将质量为m1一个小液化瓶固定在质量为m2的小球具船上,利用液化瓶向外喷射气体做为船的动力。现在整个装置静止放在平静的水面上,已知打开液化汽瓶后向外喷射气体的对地速度为v1,如果在△t的时间内向后喷射的气体的质量为△m,忽略水的阻力,则
(1)喷射出质量为△m的液体后,小船的速度是多少?
(2)喷射出△m液体的过程中,小船所受气体的平均作用力的大小是多少?
参考答案:
小题1:AD
小题2:
本题解析:
得:v船=
。
(2)对喷射出的气体运用动量定理得:F△t=△mv1,
解得F=
?。
本题难度:一般
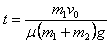
5、计算题 如图所示,质量m1=0.3 kg的小车静止在光滑的水平面上,车长L=15 m,现有质量m2=0.2 kg可视为质点的物块,以水平向右的速度v0=2 m/s从左端滑上小车,最后在车面上某处与小车保持相对静止。物块与车面间的动摩擦因数μ=0.5,取g=10 m/s2,求
(1)物块在车面上滑行的时间t;
(2)要使物块不从小车右端滑出,物块滑上小车左端的速度v′0不超过多少。 
参考答案:解:(1)设物块与小车的共同速度为v,以水平向右为正方向,根据动量守恒定律有
①
设物块与车面间的滑动摩擦力为F,对物块应用动量定理有
?②
其中
③
解得
代入数据得
④
(2)要使物块恰好不从车厢滑出,须物块到车面右端时与小车有共同的速度v′,则
?⑤
由功能关系有
⑥
代入数据解得v0′=5m/s
故要使物块不从小车右端滑出,物块滑上小车的速度v0′不能超过5m/s
本题解析:
本题难度:一般