时间:2019-12-13 02:40:54
1、简答题 “探究加速度与物体质量、物体受力的关系”的实验装置如图甲所示.
(1)在平衡小车与桌面之间摩擦力的过程中,打出了一条纸袋如图所示.计时器大点的时间间隔为0.02s.从比较清晰的点起,每5个点取一个计数点,量出相邻计数点之间的距离.该小车的加速度a=______m/s2.(结果保留两位有效数字)
(2)某探究学习小组的同学欲以上图装置中的小车为对象验证“动能定理”,他们在实验室组装了一套如图所示的装置,另外他们还找到了打点计时器所用的学生电源、导线、复写纸、纸带、小木块、细沙.当滑块连接上纸带,用细线通过滑轮挂上空的小沙桶时,释放小桶,滑块处于静止状态.若你是小组中的一位成员,要完成该项实验,则:你认为还需要的实验器材有______.
(3)实验时为了保证滑块受到的合力?与沙和沙桶的总重力大小基本相等,沙和沙桶的总质量应满足的实验条件是______,实验时首先要做的步骤是______.
(4)在上面的基础上,某同学用天平称量滑块的质量M.往沙桶中装入适量的细沙,用天平称出此时沙和沙桶的总质量m.让沙桶带动滑块加速运动,用打点计时器记录其运动情况,在打点计时器打出的纸带上取两点,测出这两点的间距L和这两点的速度大小v1与v2(v1<v2).则对滑块,本实验最终要验证的数学表达式为______(用题中的字母表示).
(5)如果实验时所用滑块质量为M,沙及沙桶总质量为m,让沙桶带动滑块在水平气垫导轨上加速运动,用打点计时器记录其运动情况,在打点计时器打出的纸带上取两点,测出这两点的间距L和这两点的速度大小v1与v2(v1<v2).要探究滑块与沙及沙桶组成的系统机械能是否守恒,则最终需验证的数学表达式为______(用题中的字母表示).
参考答案:(1)设第一段位移为x1,第二段位移为x2,由:△x=aT2得:
a=x2-x1T2=0.16×10-20.12=0.16m/s2
(2)以小车为对象验证“动能定理”,合外力做的功为:mgL,小车动能的变化量为:12Mv22-12Mv21,所以我们需要验证:mgL=12Mv22-12Mv21,需要测量或计算的物理量为:m,M,L,v,所以需要的仪器主要有:天平(质量)刻度尺(位移)打点计时器(速度).
(3)在实验的过程中,我们认为绳子的拉力F等于沙桶和沙子的重力mg,而在小车运动中还会受到阻力,所以我们首先需要平衡摩擦力.并且实际上绳子的拉力F=Ma=Mm+Mmg,故应该是m<<M,即:要求小车的质量远远大于沙桶和沙子总质量.
(4)以小车为对象验证“动能定理”,合外力做的功为:mgL,小车动能的变化量为:12Mv22-12Mv21,所以我们需要验证:mgL=12Mv22-12Mv21
(5)在实验中,能量转化是:沙桶和沙子的损失的重力势能转化为整个系统的动能,沙桶和沙子的损失的重力势能为:mgL,整个系统增加的动能:12(M+m)(v22-v21);
所以我们需要验证:mgL=12(M+m)(v22-v21)
故答案为:(1)0.16
(2)天平,刻度尺
(3)小车的质量远远大于沙桶和沙子总质量,平衡摩擦力
(4)mgL=12Mv22-12Mv21
(5)mgL=12(M+m)(v22-v21)
本题解析:
本题难度:一般
2、选择题 用平木板、细绳套、橡皮条、弹簧测力计等做“验证力的平行四边形定则”的实验,为了使实验能够顺利进行,且尽量减小误差,你认为下列说法或做法能够达到上述目的是( )
A.使用弹簧测力计前应将测力计水平放置,然后检查并矫正零点
B.用弹簧测力计拉细绳套时,拉力应沿弹簧的轴线,且与水平木板平行
C.两细绳套必须等长
D.用弹簧测力计拉细绳套时,拉力应适当大些,但不能超过量程
E.同一次实验两次拉细绳套须使结点到达同一位置
参考答案:ABDE
本题解析:
本题难度:一般
3、选择题 将两个力F1和F2合成F,则下列说法正确的是
[? ]
A.F1、F2和F是同时作用在同一物体上的三个力
B.F1、F2是同种性质的力
C.F的作用效果与F1、F2同时作用的总效果相同
D.F1和F2可能是作用在两个不同物体上的力
参考答案:C
本题解析:
本题难度:简单
4、实验题 在追寻科学家研究足迹的过程中,某同学为探究恒力做功和物体动能变化间的关系,采用了如图l 所示的“探究物体加速度与物体质量、受力之间关系”的实验装置。
(1)实验时,该同学想用钩码的重力表示滑块受到的合力,为了减小这种做法带来的实验误差,你认为在实验中应该采取的两项措施是____________和____________;
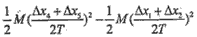
(2)如图2所示是实验中得到的一条纸带,其中A、B、C、D、E、F是连续的六个计数点,相邻计数点间的时间间隔为T,相邻计数点间距离已在图中标出,测出小车的质量为M,钩码的总质量为m。从打B点到打E点的过程中,为达到实验目的,该同学应该寻找____________和____________之间的数值关系(用题中和图中的物理量符号表示)。
参考答案:(1)保证钩码的总质量远小于滑块的质量,平衡摩擦力
(2)
,
本题解析:
本题难度:一般
5、选择题 如图,将小球沿光滑斜面匀速上拉的过程中斜面不动,则绳的拉力(?)
A.先增大后减小
B.先减小后增大
C.一直增大
D.一直减小
参考答案:C
本题解析:对小球受力分析可知:受重力G、斜面的支持力FN和绳子的拉力FT,因为小球匀速上滑,所以合力为零.如图由三角形法则可知:绳子的拉力FT一直增大,故选项C正确.
本题难度:一般