时间:2019-12-13 02:37:51
1、选择题 不定项选择
如图所示,将一个正方形导线框ABCD置于一个范围足够大的匀强磁场中,磁场方向与其平面垂直。在AB、CD的中点处连接一个电容器,其上、下极板分别为a、b,让正方形线框以某一速度水平向右匀速移动,则( ? )
A.ABCD回路中没有感应电流
B.A与D、B与C间有电势差
C.电容器a、b两极板分别带上负电和正电
D.电容器a、b两极板分别带上正电和负电
参考答案:ABC
本题解析:
本题难度:简单
2、选择题 在电磁感应现象中,下列说法正确的是( ?)
A.导体相对磁场运动,导体内一定产生感应电流
B.导体做切割磁感线运动,导体内一定会产生感应电流
C.闭合电路在磁场内做切割磁感线运动,导体内一定会产生感应电流
D.穿过闭合电路的磁通量发生变化,在电路中一定会产生感应电流
参考答案:D
本题解析:根据法拉第电磁感应定律可知,导体做切割磁感线运动,导体内一定会产生感应电动势,不一定由感应电流;若闭合电路一部分导体在磁场内做切割磁感线运动,导体内一定会产生感应电流,所以A、B、C错误;穿过闭合电路的磁通量发生变化,闭合回路产生感应电动势,在电路中一定会产生感应电流,故D正确。
本题难度:简单
3、计算题 (18分)如图甲所示,P、Q为水平面内平行放置的金属长直导轨,间距为d,处在磁感应强度大小为B、方向竖直向下的匀强磁场中。一根质量为m、电阻为r的导体棒ef垂直放在P、Q导轨上,导体棒ef与P、Q导轨间的动摩擦因数为μ。质量为M的正方形金属框abcd的边长为L,每边电阻均为r,用细线悬挂在竖直平面内,ab边水平,金属框a、b两点通过细导线与导轨相连,金属框的上半部分处在磁感应强度大小为B、方向垂直框面向里的匀强磁场中,下半部分处在大小也为B、方向垂直框面向外的匀强磁场中,不计其余电阻和细导线对a、b点的作用力。现用一电动机以恒定功率沿导轨方向水平牵引导体棒ef向左运动,从导体棒开始运动时计时,悬挂金属框的细线的拉力T随时间t的变化如图乙所示,求:
(1)t0时刻以后通过ab边的电流;
(2)t0时刻以后导体棒ef运动的速度;
(3)电动机牵引力的功率P。
参考答案:见解析
本题解析:
本题考查法拉第电磁感应定律与牛顿运动定律的结合,当导线框静止不动时受力平衡,受到竖直向上的两个安培力的作用,由受力平衡及安培力F=BIl可求得线框电流大小,再由E=BLv可求得导体棒速度,由电动机功率P=Fv,F为牵引力,对导体棒F等于摩擦力与安培力之和,由此可求得牵引力F大小,再由第二问求得的速度大小带入P=Fv即可求得电动机功率大小
本题难度:一般
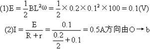
4、简答题 如图所示,均匀导体制成的圆环直径上固定一金属细棒ab,圆心O处为一转轴,匀强磁场边界cd通过圆心,已知磁感强度B=0.2T,Oa=0.1m,圆环全长电阻为0.4Ω,直棒电阻为0.1Ω,圆环以角速度ω=100rad/s绕O轴逆时针匀速转动,求:
(1)当aO进入磁场后产生感应电动势的大小?
(2)当aO进入磁场后通过bO电流的大小和方向?
参考答案:(1)0.1V?(2)0.5A ,方向由o到b
本题解析:
本题难度:简单
5、选择题 关于电磁感应现象的有关说法正确的是( )
A.只要穿过闭合电路中的磁通量不为零,电路中就有感应电流产生
B.穿过闭合电路中的磁通量减少,则电路中感应电流就减小
C.穿过闭合电路中的磁通量越大,则电路中的感应电动势越大
D.穿过闭合电路的磁通量变化越快,闭合电路中感应电动势越大
参考答案:A.只有闭合回路中磁通量发生变化时,闭合回路中才会产生感应电流,故A错误.
B.根据法拉第电磁感应定律,电动势的大小取决与磁通量变化的快慢,所以感应电流的大小取决于磁通量变化的快慢,磁通量减小时,若磁通量的变化率增大,则感应电流可能变大,故B错误;
C、D、穿过闭合电路的磁通量变化越快,闭合电路中感应电动势越大.磁通量大,但变化较慢,则感应电动势也可能很小,故C错误,D正确.
故选:D.
本题解析:
本题难度:一般