时间:2019-12-13 02:28:27
1、选择题 有以下说法,其中正确的是( )
A.
用如图所示两摆长相等的单摆验证动量守恒定律时,只要测量出两球碰撞前后摆起的角度和两球的质量,就可以分析在两球的碰撞过程中总动量是否守恒
B.黑体辐射电磁波的强度按波长的分布只与黑体的温度有关
C.对于某种金属,只要入射光的强度足够大,就会发生光电效应
D.α粒子散射实验正确解释了玻尔原子模型
E.原子核的半衰期由核内部自身因素决定,与原子所处的化学状态和外部条件无关
F.原子核的结合能越大,核子结合得越牢固,原子越稳定
参考答案:A、用如图所示两摆长相等的单摆验证动量守恒定律时,只要测量出摆球的质量,以及通过两球碰撞前后摆起的角度,根据机械能守恒定律求出初速度,就可以分析在两球的碰撞过程中总动量是否守恒.故A正确.
B、黑体辐射电磁波的强度按波长的分布只与黑体的温度有关.故B正确.
C、发生光电效应的条件是入射光的频率大于金属的极限频率,与入射光的强度无关.故C错误.
D、氢原子光谱正确解释了玻尔原子模型.故C错误.
E、原子核的半衰期由核内部自身因素决定,与原子所处的化学状态和外部条件无关,故E正确.
F、原子核的比结合能越大,核子结合得越牢固,原子越稳定.故F错误.
故选ABE.
本题解析:
本题难度:简单
2、简答题 用质量为m的电子去轰击一个质量为M、最初静止的氢原子可以使其从基态跃迁到某激发态,设该激发态和基态的能量差为ΔE,欲使上述跃迁能够发生,电子的最小初动能是多大?
参考答案:
本题解析:
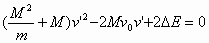
解法一:设电子的初速度为v0,电子与氢原子碰撞后,电子的速度为v',氢原子的速度为v',对电子、氢原子系统在碰撞过程,由动量守恒定律,有
由能量守恒定律,有:
由上述两式可得:
当判别式Δ≥0时,v’有实数解,题述的跃迁才可发生有:
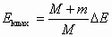
即电子的最小初动能为:
,即
解法二:电子和氢原子作完全非弹性碰撞时,损失的动能最多.故电子和氢原子作完全非弹性碰撞,电子的初动能是电子的最小初动能.设电子和氢原子完全非弹性碰撞结束时二者的共同速度为v′,由动量守恒定律,有:
由能量转化与守恒定律,有:
由以上两式可得:
本文中的解法一主要是用的数学方法,解法二主要是用的物理方法,显然,解法二比解法一简便得多.
本题难度:简单
3、选择题
如图所示是发现中子的实验过程,关于“不可见射线”的性质和从石蜡中“打出的粒子”的名称,下述说法中正确的是
A.这种“不可见射线”是质子流,从石蜡中“打出的粒子”是中子.
B.这种“不可见射线”是中子流,从石蜡中“打出的粒子”是质子.
C.这种“不可见射线”是γ射线,从石蜡中“打出的粒子”是中子.
D.这种“不可见射线”是β射线,从石蜡中“打出的粒子”是质子
参考答案:B
本题解析:α粒子轰击铍核可打出中子,中子轰击石蜡可打出质子,答案B。
本题难度:一般
4、选择题 氢原子的能级图如图所示,处于n=3激发态的大量氢原子向基态跃迁时所放出的光子中,只有一种光子不能使某金属A产生光电效应,则下列说法正确的是?(?)
A.不能使金属A产生光电效应的光子一定是从n=3激发态直接跃迁到基态时放出的
B.不能使金属A产生光电效应的光子一定是从n=3激发态直接跃迁到n=2激发态时放出的
C.若从n=4激发态跃迁到n=3激发态,所放出的光子一定不能使金属A产生光电效应
D.金属A逸出功一定大于1.89eV
参考答案:BCD
本题解析:从
跃迁放出的光子能量为
,从
跃迁放出的光子能量为
,从
跃迁放出的光子能量为
,所以不能使金属A产生光电效应的光子一定是是从n=3激发态直接跃迁到n=2激发态时放出的,故A错误,BD正确,从
跃迁放出的光子能量比从
跃迁放出的光子能量还小,所以C正确,
本题难度:一般
5、选择题 氢原子在某三个相邻能级之间跃迁时,可发生三种不同波长的辐射光。已知其中的两个波长分别为λ1和λ2,且λ1>λ2,则另一个波长可能是
[? ]
A.λ1+λ2
B.λ1-λ2
C.
D.
参考答案:CD
本题解析:
本题难度:一般