高中物理知识点大全《粒子在复合场中运动》高频试题强化练习(2019年最新版)(五)

时间:2019-12-13 02:02:48

微信搜索关注"91考试网"公众号,领30元,获取事业编教师公务员等考试资料40G

1、选择题  在图中实线框所示的区域内同时存在着匀强磁场和匀强电场。一个带电粒子(不计重力)恰好能沿直线MN从左至右通过这一区域,那么匀强磁场和匀强电场的方向可能为下列哪种情况

[? ]
A.匀强磁场方向竖直向上,匀强电场方向垂直于纸面向外
B.匀强磁场方向竖直向上,匀强电场方向垂直于纸面向里
C.匀强磁场方向垂直于纸面向里,匀强电场方向竖直向上
D.匀强磁场和匀强电场的方向都水平向右


参考答案:BD


本题解析:


本题难度:一般



2、计算题  如图所示,高h=0.8m的绝缘水平桌面上方的区域Ⅰ中存在匀强电场,场强E 的方向与区域的某一边界平行,区域Ⅱ中存在垂直于纸面的匀强磁场B。现有一质量m=0.01kg,带电荷量q=+10-5C的小球从A点以v0=4m/s的初速度水平向右运动,匀速通过区域Ⅱ后落在水平地面上的B点,已知:小球与水平桌面间的动摩擦因数,L=1m,h=0.8m,x=0.8m,取g=10m/s2。试求:
(1)小球在区域Ⅱ中的速度;
(2)区域Ⅱ中磁感应强度B的大小及方向;
(3)区域Ⅰ中电场强度E的大小及方向。


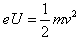
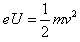
参考答案:解:(1)小球离开磁场后做平抛运动,设小球在磁场中匀速运动的速度为v,则有①?

联立①②解得:
(2)由于小球在磁场中作匀速运动,所以小球不可能受摩擦力作用,也就不受桌面的弹力(支持力)作用,只能受重力和洛仑兹力作用,且

联立④⑤解得:
代入数值得:
根据左手定则可判断磁感应强度B的方向垂直纸面向里。
(3)由于v<v0,所以小球在电场中作减速运动。电场方向有两种可能
(i)电场方向水平向左。小球在电场中,由动能定理:
解得:
(ii)电场方向沿竖直方向,设竖直向上。
小球在电场中,由动能定理:
解得:
“-”号表示E的方向与假设方向相反,即竖直向下。


本题解析:


本题难度:困难



3、选择题  如图所示,某空间存在正交的匀强电场和运强磁场,电场方向水平向右,磁场方向垂直纸面向里,一带电微粒由a点进入该空间并刚好能沿ab直线向上运动,下列说法正确的是(  )
A.微粒一定带负点
B.微粒一定做匀速运动
C.微粒的电势能一定增加
D.微粒的重力势能一定增加



参考答案:A、根据做直线运动的条件和受力情况(如图所示)可知,微粒一定带负电,且做匀速直线运动,所以选项AB正确;
C、由于电场力向左,对微粒做正功,动能增加,电势能一定减小,选项C错误;
D、因向上运动,则重力做负功,导致重力势能一定增加,所以选项D正确.
故选:ABD.


本题解析:


本题难度:一般



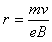
4、计算题  如图所示,M、N为两块带等量异种电荷的平行金属板,S1、S2为板上正对的小孔,N板右侧有两个宽度均为d的匀强磁场区域,磁感应强度大小均为B,方向分别垂直于纸面向外和向里,磁场区域右侧有一个荧光屏,取屏上与S1、S2共线的O点为原点,向上为正方向建立x轴。M板左侧电子枪发射出的热电子经小孔S1进入两板间,电子的质量为m,电荷量为e,初速度可以忽略。
(1)当两板间电势差为U0时,求从小孔S2射出的电子的速度v0;
(2)求两金属板间电势差U在什么范围内,电子不能穿过磁场区域打到荧光屏上:
(3)若电子能够穿过磁场区域而打到荧光屏上,试在图上定性地画出电子运动的轨迹;
(4)求电子打到荧光屏上的位置坐标x和金属板间电势差U的函数关系。


参考答案:解:(1)根据动能定理,得
解得
(2)欲使电子不能穿过磁场区域而打到荧光屏上,应有
,解得
(3)电子穿过磁场区域而打到荧光屏上时运动的轨迹如图所示

(4)若电子在磁场区域做圆周运动的轨道半径为r,穿过磁场区域打到荧光屏上的位置坐标为x,则由(3)巾的轨迹图可得
注意到
所以,电子打到荧光屏上的位置坐标x和金属板间电势差U的函数关系为


本题解析:


本题难度:困难



5、填空题  如图所示,质量为m,带正电量为q的液滴,处在水平方向的匀强磁场中,磁感应强度为B,液滴运动速度为v,若要液滴在竖直平面内做匀速圆周运动,则施加的电场方向为____________,电场强度大小为____________ ,液滴绕行方向为____________(从纸外往纸内看)。


参考答案:竖直向上,mg/q,逆时针


本题解析:


本题难度:一般




首页 上页 4 5 6 下页 尾页 5/10/10
微信搜索关注"91考试网"公众号,领30元,获取公务员事业编教师考试资料40G
【省市县地区导航】【考试题库导航】
 ★ 高考省级导航 ★ 
全国 A安徽 B北京 C重庆 F福建 G广东 广西 甘肃 贵州 H河南 河北 湖南 湖北 黑龙江 海南 J江苏 江西 吉林 L辽宁 N内蒙古 宁夏 Q青海 S山东 山西 陕西 四川 上海 T天津 X新疆 西藏 Y云南 Z浙江
 ★ 高考信息汇总 ★ 
 ★ 高考历年真题 ★ 
 ★ 高考历年真题 ★ 
 ★ 高考题库 ★ 
 ★ 高考题库 ★ 

电脑版  |  手机版  |  返回顶部