时间:2019-12-13 01:47:50
1、计算题 如图所示,小车B原来静止在光滑水平面上,一个质量为m的铁块A(可视为质点),以水平速度v0=4.0 m/s滑上质量为M的小车B的左端,最后恰能滑到小车的右端。已知M:m=3:1,小车长L=1.2 m,g取10 m/s2。求:
(1)A、B最后的速度;
(2)铁块与小车之间的动摩擦因数;
(3)铁块A速度减小到最小所经历的时间。
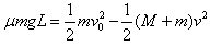
参考答案:解:(1)铁块恰能滑到小车的右端,此时二者具有相同的速度v,根据动量守恒定律:
mv0=(M+m)v,解得v=
(2)根据功能关系
代入数据求得:μ=0.5
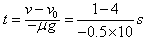
(3)由牛顿第二定律,铁块A的加速度a=-μg
由运动学公式,A减速到v所用时间
=0.6 s
本题解析:
本题难度:困难
2、计算题 如图所示,一质量为M,长为L的木板固定在光滑水平面上。一质量为m的小滑块以水平速度v0从木板的左端开始滑动,滑到木板的右端时速度恰好为零。
(1)小滑块在木板上的滑动时间;
(2)若木块不固定,其他条件不变,小滑块相对木板静止时距木板左端的距离。
参考答案:(1)
(2)
本题解析:(1)小滑块所受合外力为滑动摩擦力,设动摩擦因数为
,有
?①(2分)
?②(2分)
解得?
?(2分)
(2)设小滑块与木板的共同速度为v,小滑块距木板左端的距离为L",有
?③?(2分)
?④?(2分)
由以上各式解得
?(2分)
本题难度:简单
3、计算题 如图所示,光滑水平面上放置质量均为M=2kg的甲、乙两辆小车,两车之间通过一感应开关相连(当滑块滑过感应开关时,两车自动分离),一根通过细线拴着而被压缩的轻质弹簧固定在甲车的左端,质量m=l kg的滑块P(可视为质点)与弹簧的右端接触但不相连,其中甲车上表面光滑,乙车上表面与滑块P之间的动摩擦因数μ=0.5,此时弹簧储存的弹性势能E=10 J,弹簧原长小于甲车长度,整个系统处于静止状态,现剪断细线。求:
(1)求滑块P滑上乙车前的瞬时速度的大小;
(2)若滑块P滑上乙车后最终未滑离乙车,则P在乙车上滑行的距离为多大? 
参考答案:解:(1)设滑块P滑上乙车前的速度为v,此时甲、乙两车的共同速度为v1,对整体应用动量守恒和能量关系有:
mv-2Mv1=0,
解得:v=4 m/s,v1=1 m/s
(2)设滑块P和小车乙达到的共同速度为v",对滑块P和小车乙由动量守恒和能量关系有:
mv-Mv1=(m+M)v" ,
代入数据解得
本题解析:
本题难度:困难
4、简答题 一挺机枪架在静止于平静湖面上的小船中,机枪和船的总质量M=200kg,每颗子弹的质量m=20g,如果机枪在t=10s内沿水平方向以v0="600m/s" 的速度(相对于地面)发射40颗子弹,不计水对船的阻力,求发射后船速的大小及方向
参考答案:
?方向与子弹速度方向相反
本题解析:由动量守恒定律得:
?(6分)
? (4分)?方向与子弹速度方向相反 . ?(2分)
本题难度:简单
5、简答题 
一个长2m,高1.25m的桌子,固定在水平地面上,它的左端放一个大小不计的质量为1.9kg的木块,被一个质量为100g水平飞来的速度为100m/s的子弹击中,击中后子弹留在木块内,它们落地点距桌面右端水平距离1.5m,如图所示.问:
①桌面是否光滑?如果不光滑,其动摩擦因数多大?
②如果要求木块被击中后恰好刚不离开桌面,子弹的速度不能超过多大?
参考答案:
(1)0.4?(2)80m/s
本题解析:
本题难度:一般