时间:2019-12-13 01:44:40
1、计算题  如图所示,在真空中A、B两点上各固定一个点电荷,它们的电荷量相等,均为4.0×10-10 C,而电性相反;A为正,B为负,二者相距80cm,P点与A、B等距,到A、B的距离均为50cm.? 
(1)试确定P点的场强大小和方向.? 
(2)试求P点处的场强与A、B连线中点O处的场强之比.
参考答案:解:(1)由点电荷的电场强度计算式E= 知,A、B处的两个电荷在P处产生的场强大小相等,即EA=EB=
知,A、B处的两个电荷在P处产生的场强大小相等,即EA=EB= =
=
据几何知识
所以P点的场强EP=(EA+EB)cos =23.04 N/C,方向平行AB方向向右
=23.04 N/C,方向平行AB方向向右
(2)O点的场强
故P点与O点的场强之比Ep:EO=0.512
本题解析:
本题难度:一般
2、选择题 如图所示,平行板电容器处在真空中,电容为C,带电荷量为Q,板间距离为d,今在两板的中点
| d 2 | 
| Qq Cd | 
| 2Qq Cd | 
| 8Qq d2 | 
| 4Qq d2 | 

参考答案:两极板间的电势差为:U=QC,
则两极板间的电场强度为:E=Ud=QCd,
电荷q所受的电场力为:F=qE=qQCd.故A正确,B、C、D错误.
故选:A.
本题解析:
本题难度:一般
3、选择题  下列关于电场性质的说法,正确的是(  )
A.电场强度大的地方,电场线一定密,但电势不一定高
B.电场强度大的地方,电场线一定密,电势也一定高
C.电场强度为零的地方,电势一定为零
D.电势为零的地方,电场强度一定为零
参考答案:A、B、电场线密处,电场强度大,而电场线方向不确定,故无法判断电势高低,电势就不一定高.故A正确.故B错误;
?C、D、电势为零,是人为选择的,电场强度为零的地方,电势不一定为零.故CD错误.
故选A
本题解析:
本题难度:一般
4、计算题  如图,一质量不计,可上下自由移动的活塞将理想气体封闭在圆筒内,筒的侧壁为绝缘体,下底M及活塞D均为导体并按图连接,活塞面积S=2cm2。闭合电键前,DM间距l1=5μm,闭合电键后,活塞D与下底M分别带有等量异种电荷,并各自产生匀强电场(D与M间的电场为各自产生的电场的叠加)。在电场力作用下活塞D发生移动。稳定后,DM间距l2=4μm,此时安培表读数为0.75A,伏特表读数为2V。
(1)求出活塞受到的电场力大小F(大气压强,活塞移动前后气体温度不变);
(2)求出活塞D所带电量q;
(3)一段时间后,一个电阻发生故障,安培表读数变为0.8A,伏特表读数变为3.2V,请判断是哪个电阻发生了故障?是短路还是断路?筒内气体压强变大还是变小? 
参考答案:
解:(1) ,解得
,解得
活塞受到的气体压强差为:
活塞受力平衡,电场力大小:
(2)D与M间的电场强度:
因为E是D与M所带的等量异种电荷产生的合场强,所以M所产生的场强:EM=E/2,
由 ,得
,得
(3)R2断路;筒内气体压强变大 
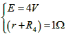
(4)R2断路后,伏特表的读数就是R1两端的电压,因此有:
由
可得:
因为R4未知,所以不能求出r的值。 
本题解析:
本题难度:一般
5、选择题  x轴上有两点电荷Q1和Q2,Q1和Q2的位置坐标分别为x1、x2。Q1和Q?2之间各点对应的电势高低如图中曲线所示,从图中可看出?(?)
A.Q1的电荷量一定小于Q2的电荷量
B.Q1和Q2一定是同种电荷,但不一定是正电荷
C.电势最低处P点的电场强度为零
D.将一负点电荷由xP,点的左侧移至右侧,电场力先做正功
后做负功
参考答案:C
本题解析:考点:
专题:电场力与电势的性质专题.
分析:作出Q1、Q2之间的电场线,就知道Xp处场强为零,根据点电荷场强公式,得到Q1的电荷量一定大于Q2的电荷量;根据场强方向得出两电荷一定是正电荷;负电荷由Xp点的左侧移到右侧,电场力应先做负功再做正功.
解答:解:A、如图所示,作出电场线,知道Xp处合场强为0,则Q1与Q2在Xp处场强大小相等,方向相反.
根据E=K 知,Q1>Q2,故A错误.若两个电荷都是负电荷,则在Xp左侧电场线方向向左,右侧向右,与实际电场方向不符,不可能;则两个电荷一定是正电荷.故B错误.
知,Q1>Q2,故A错误.若两个电荷都是负电荷,则在Xp左侧电场线方向向左,右侧向右,与实际电场方向不符,不可能;则两个电荷一定是正电荷.故B错误.
 C、根据电场线的分布情况,Xp处场强一定为零.故C正确.
 D、负电荷右移,电场力先做负功后正功.故D错误.
故选C
点评:本题的技巧是作电场线,将抽象问题形象化,是电场中常用方法.
本题难度:一般