时间:2019-12-13 01:43:39
1、选择题 一列横波沿x轴正方向传播,在t=0时刻的波形曲线如图所示.已知这列波的质点P连续出现两次波峰的时间间隔为0.4 s,则( ).
A.这列波的波长为5 m
B.这列波的传播速度为10 m/s
C.当t=0.7 s时,质点Q第一次到达波峰
D.质点Q到达波峰时,质点P恰好到达波谷
2、选择题 一根粗细均匀的绳子,右侧固定,使左侧的S点上下振动,产生一列向右传播的机械波,某时刻的波形如图所示。下列说法中正确的是
A.该波的波速逐渐增大
B.该波的波速逐渐减小
C.该波的频率逐渐增大
D.该波的频率逐渐减小
3、选择题 一简谐横波在x轴上传播,t=0时的波形如图甲所示。x=8m处质点P的振动图线如图乙所示。下列说法正确的是
A.这列波的波长为8m
B.这列波的频率为2Hz
C.这列波的波速为4m/s
D.这列波向左传播
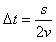
4、选择题 在某一列简谐横波的传播方向上有P、Q两质点,它们的平衡位置相距s,波速大小为v,方向向右。在某时刻,当P、Q都位于各自的平衡位置时,P、Q间只有一个波峰,如图所示,从此时刻起,各波形中P点第一次到达波谷位置经历的时间为△t,则
[? ]
A.甲波与丁波的时间相同,
B.乙波与丙波的时间相同,
C.乙波的时间最短,
D.丁波的时间最短,
5、实验题 某同学设计了一个用单摆的实验装置验证机械能守恒的实验如图所示 通过光控门,可以从时间显示仪上读小球挡光的时间。他的实验步骤是:
①用刻度尺测出摆线长
,再用游标卡尺测量摆球的直径如图所示。
②将摆球拉离平衡位置使得摆球的高度升高
摆长,闭合时间显示仪开关,由静止释放摆球,从时间显示仪读出摆球挡光时间
。
③断开时间显示仪开关,撤去光控门,将摆球拉离平衡位置一个很小的角度(
),由静止释放摆球,用秒表测出摆球作N次全振动的时间是
回答:摆球的直径是
?cm
用秒表测出摆球作N次全振动的时间时应在摆球经过?时开始计时,当地的重力加速度是?(用字母表示各物理量)
在误差允许的范围内得到
?(用字母表示各物理量),就验证了摆球运动过程中机械能守恒。
为减小误差,在体积相同的条件下,摆球应选用?实心金属球。