时间:2019-12-13 01:32:29
1、选择题 在匀速转动的水平放置的转盘上有一个相对盘静止的物体,则物体相对盘的运动趋势是
[? ]
A.沿切线方向?
B.沿半径指向圆心?
C.沿半径背离圆心?
D.静止,无运动趋势
参考答案:C
本题解析:
本题难度:简单
2、简答题 离心分离器盛有水的混合物,当试管随竖直轴旋转时, 密度比水大
的物质、比水小的物质以及水各应位于试管的那个位置?
参考答案:A为比水密度小的物质,?B为水,C为比水密度大的物质
本题解析:
本题难度:一般
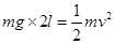
3、简答题 童非,江西人,中国著名体操运动员,首次在单杠项目上实现了“单臂大回环”:用一只手抓住单杠,伸展身体,以单杠为轴做圆周运动。假设童非的质量为65kg,那么,在完成“单臂大回环”过程中,童非的单臂至少要能承受多大的力?(g取10m/s2)
参考答案:
本题解析:身体伸直由静止从上转至下端时速度最小,承受的力最小,直立杠上重心至杠距离为
,由机械能守恒有:
?①
在最低位置,由牛顿第二定律
?②
由①②得:?
本题难度:一般
4、选择题 下列实例中和离心现象有关的是( )
A.汽车开进泥坑里轮胎打滑
B.汽车通过圆形拱桥
C.坐在直线行驶中的公共汽车内的乘客突然向前倾倒或向后倾倒
D.洗衣机脱水桶停止工作时衣服紧贴在桶壁上
参考答案:D
本题解析:
本题难度:简单
5、选择题 关于离心运动,下列说法中正确的是( )
A.物体做离心运动时将沿半径方向向外,远离圆心
B.洗衣机脱水时利用衣服做离心运动将衣服甩干
C.在水平公路上转弯的汽车速度过大,会因做离心运动而造成事故
D.物体做离心运动的原因,是物体受到的合外力大于所需的向心力
参考答案:C
本题解析:
本题难度:一般